Foram encontradas 120 questões.
Uma professora distribuiu planificações de poliedros regulares para que seus alunos pintassem as faces seguindo as seguintes regras: ,
duas faces que tiverem uma aresta em comum serão pintadas de cores distintas; ,
faces paralelas serão pintadas na mesma cor.
A figura abaixo é a planificação de um desses poliedros, com suas faces numeradas.

Com base nas regras apresentadas e na figura, julgue os itens a seguir.
As faces 4 e 7 serão pintadas na mesma cor.
Provas
Uma professora distribuiu planificações de poliedros regulares para que seus alunos pintassem as faces seguindo as seguintes regras: ,
duas faces que tiverem uma aresta em comum serão pintadas de cores distintas; ,
faces paralelas serão pintadas na mesma cor.
A figura abaixo é a planificação de um desses poliedros, com suas faces numeradas.

Com base nas regras apresentadas e na figura, julgue os itens a seguir.
De acordo com as regras, as faces 1 e 6 serão pintadas na mesma cor.
Provas
Uma professora distribuiu planificações de poliedros regulares para que seus alunos pintassem as faces seguindo as seguintes regras: ,
duas faces que tiverem uma aresta em comum serão pintadas de cores distintas; ,
faces paralelas serão pintadas na mesma cor.
A figura abaixo é a planificação de um desses poliedros, com suas faces numeradas.

Com base nas regras apresentadas e na figura, julgue os itens a seguir.
O poliedro cuja planificação corresponde à apresentada na figura acima tem 17 arestas e 11 vértices.
Provas
O problema apresentado a seguir, encontrado no Papiro Matemático Rhind ou Ahmos - 1650 a.C -, envolve a noção de progressão aritmética.
"Divida 100 pães por 5 homens, de modo que as quantidades recebidas por cada um estejam em progressão aritmética e que a soma das duas quantidades menores seja igual a
da soma das outras três."
Com base nessas informações e designando por a o termo inicial e por r a razão da progressão aritmética, julgue os itens a seguir.
Desconsiderando as hipóteses do problema egípcio, dividindo os 100 pães entre os 5 homens de forma que as quantidades recebidas por cada um estejam em uma progressão aritmética de razão 3, então o número máximo de pães que um dos homens receberia é igual a 29.
Provas
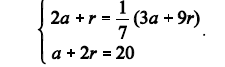
O problema apresentado a seguir, encontrado no Papiro Matemático Rhind ou Ahmos - 1650 a.C -, envolve a noção de progressão aritmética.
"Divida 100 pães por 5 homens, de modo que as quantidades recebidas por cada um estejam em progressão aritmética e que a soma das duas quantidades menores seja igual a
da soma das outras três."
Com base nessas informações e designando por a o termo inicial e por r a razão da progressão aritmética, julgue os itens a seguir.
A solução do problema egípcio também é solução do seguinte sistema de equações lineares: 
Provas
O problema apresentado a seguir, encontrado no Papiro Matemático Rhind ou Ahmos - 1650 a.C -, envolve a noção de progressão aritmética.
"Divida 100 pães por 5 homens, de modo que as quantidades recebidas por cada um estejam em progressão aritmética e que a soma das duas quantidades menores seja igual a
da soma das outras três."
Com base nessas informações e designando por a o termo inicial e por r a razão da progressão aritmética, julgue os itens a seguir.
Se b = a, b = a + r, b = a + 2r, b = a + 3r e b = a + 4r são os cinco termos da progressão aritmética, então b3 + b4 + b5 = 3 (b3 + r).
Provas
O geoplano, um material concreto para se ensinar geometria, foi inventado pelo matemático e pedagogo egípcio Galeb Gattegno. São três tipos de geoplanos: quadrado, triangular e circular. A figura abaixo ilustra um geoplano triangular, formado por triângulos eqüiláteros congruentes, no qual alguns polígonos foram construídos.

Com base nas informações acima e considerando como unidade de comprimento o comprimento u dos lados dos triângulos que formam a malha do geoplano, julgue os itens a seguir.
O polígono IV é obtido como imagem do polígono I por meio de uma rotação de 60º, no sentido anti-horário em torno do ponto P, seguido de uma translação determinada por um vetor que faz um ângulo de 60º com o segmento AB.
Provas
O geoplano, um material concreto para se ensinar geometria, foi inventado pelo matemático e pedagogo egípcio Galeb Gattegno. São três tipos de geoplanos: quadrado, triangular e circular. A figura abaixo ilustra um geoplano triangular, formado por triângulos eqüiláteros congruentes, no qual alguns polígonos foram construídos.

Com base nas informações acima e considerando como unidade de comprimento o comprimento u dos lados dos triângulos que formam a malha do geoplano, julgue os itens a seguir.
O polígono III é a imagem obtida do polígono I por meio de uma reflexão em relação a uma reta paralela ao segmento AB.
Provas
O geoplano, um material concreto para se ensinar geometria, foi inventado pelo matemático e pedagogo egípcio Galeb Gattegno. São três tipos de geoplanos: quadrado, triangular e circular. A figura abaixo ilustra um geoplano triangular, formado por triângulos eqüiláteros congruentes, no qual alguns polígonos foram construídos.

Com base nas informações acima e considerando como unidade de comprimento o comprimento u dos lados dos triângulos que formam a malha do geoplano, julgue os itens a seguir.
O polígono II é a imagem obtida ao se transladar o polígono I por meio de um vetor de comprimento 5u e paralelo ao vetor AB.
Provas
A tabela abaixo foi construída a partir da consulta a 50 das 350 crianças matriculadas em uma escola a respeito de seus esportes preferidos.

A partir dessas informações e da tabela, julgue os itens a seguir.
A razão entre o número de crianças que escolheram o futebol ou ginástica e o de crianças que escolheram "outros" é inferior a 1.
Provas
Caderno Container