Foram encontradas 625 questões.
Considere o quadro abaixo:

Fonte: CPCON
Acerca das informações presentes no quadro acima, é CORRETO afirmar que:
Provas
Provas
Afigura abaixo foi construída da seguinte forma:

- Um quadrado ABCD de lado 2 centrado na origem;
- Uma circunferência de raio 1 centrada na origem;
- Um triângulo isósceles AEB, de base
Com base nas informações, é CORRETO afirmar que o valor da área hachurada vale:
Provas
Sabem-se do triângulo ΔABC abaixo as seguintes informações:

Com base nessas informações, é CORRETO afirmar que o valor de X + Y / Z equivale a:
Provas
Desta forma, é CORRETO afirmar que o volume da letra C na figura (b), adotando π = 3,14, corresponde a aproximadamente:
Provas
Sabe-se que os azulejos hachurados da figura (colunas nas laterais do portão central de entrada) têm dimensões 10x10 em centímetros. Desta forma, é CORRETO afirmar que a área, em metros quadrados, dos azulejos hachurados da faixada do prédio é:
Provas
Foram vendidos 100 itens ao todo; · A arrecadação total foi de R$ 454,00; O preço de cada sanduíche é de R$ 5,00, de cada suco é de R$ 3,00 e de cada salada é de R$ 6,00; O número de sanduíches vendidos foi o dobro do número de saladas.
Com base nessas informações, é CORRETO afirmar que as quantidades dos produtos que foram vendidos são:
Provas
Modalidade A (PA): a bonificação inicia em R$ 1.000,00 no 1º mês e cresce aritmeticamente, alcançando R$ 4.000,00 no 5º mês; Modalidade B (PG): a bonificação inicia em R$ 1.000,00 no 1º mês e cresce geometricamente, alcançando R$ 4.000,00 no 5º mês.
Com base nessas informações, é CORRETO afirmar que as bonificações que um certo professor pode receber no 3º mês, nas modalidades A e B, respectivamente, são:
Provas
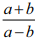
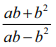
Sejam os valores definidos pelos produtos notáveis:
![]()
Com base nesses valores, é CORRETO afirmar que o valor da expressão:
![]()
É de:
Provas
Considere a definição e as propriedades dos logaritmos e observe o valor de V na expressão:

Na expressão acima, considere ln para logaritmo natural (base e) e log para logaritmo decimal (base 10). Sobre o valor de V, é CORRETO afirmar que:
Provas
Caderno Container