Magna Concursos

Foram encontradas 50 questões.

3899727 Ano: 2024
Disciplina: Pedagogia
Banca: IDESG
Orgão: Pref. Nova Venécia-ES
Provas:
Segundo a Base Nacional Comum Curricular (BNCC), qual alternativa não apresenta uma competência específica de matemática para o ensino fundamental?
 

Provas

Questão presente nas seguintes provas
3899726 Ano: 2024
Disciplina: Matemática
Banca: IDESG
Orgão: Pref. Nova Venécia-ES
Provas:
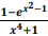
Seja a função h definida por h(x) = Enunciado 4863303-1 . Qual a equação da reta tangente ao gráfico da função h no ponto (1, 0)?
 

Provas

Questão presente nas seguintes provas
3899725 Ano: 2024
Disciplina: Matemática
Banca: IDESG
Orgão: Pref. Nova Venécia-ES
Provas:

UTILIZE O TEXTO A SEGUIR PARA RESPONDER A QUESTÃO.

Um cubo de madeira teve suas 6 faces pintadas com uma tinta vermelha. A área de cada face desse cubo é x m2. Em seguida, foram feitos 4 cortes, conforme mostrado na figura a seguir pelas linhas pontilhadas.

Enunciado 4863302-1

Após os cortes, o cubo ficou dividido em diversos paralelepípedos retângulos.

Qual a área total de todos os paralelepípedos retângulos formados que não foram pintadas com tinta vermelha?
 

Provas

Questão presente nas seguintes provas
3899724 Ano: 2024
Disciplina: Matemática
Banca: IDESG
Orgão: Pref. Nova Venécia-ES
Provas:

UTILIZE O TEXTO A SEGUIR PARA RESPONDER A QUESTÃO.

Um cubo de madeira teve suas 6 faces pintadas com uma tinta vermelha. A área de cada face desse cubo é x m2. Em seguida, foram feitos 4 cortes, conforme mostrado na figura a seguir pelas linhas pontilhadas.

Enunciado 4863301-1

Após os cortes, o cubo ficou dividido em diversos paralelepípedos retângulos.

Qual a área total de todos os paralelepípedos retângulos formados?
 

Provas

Questão presente nas seguintes provas
3899723 Ano: 2024
Disciplina: Matemática
Banca: IDESG
Orgão: Pref. Nova Venécia-ES
Provas:

UTILIZE O TEXTO A SEGUIR PARA RESPONDER A QUESTÃO.

Um artesão constrói joias com pedras preciosas cinzas e brancas, seguindo um determinado padrão, conforme mostrado nas figuras a seguir.

Enunciado 4863300-1

Nos quadradinhos cinzas, serão utilizadas pedras preciosas cinzas e nos quadradinhos brancos serão utilizadas pedras preciosas brancas.

O preço de cada pedra preciosa cinza é R$ 204,00 e cada pedra preciosa branca é R$ 196,00. O artesão construiu as 10 primeiras figuras dessa sequência. Podemos afirmar que:
 

Provas

Questão presente nas seguintes provas
3899722 Ano: 2024
Disciplina: Matemática
Banca: IDESG
Orgão: Pref. Nova Venécia-ES
Provas:

UTILIZE O TEXTO A SEGUIR PARA RESPONDER A QUESTÃO.

Um artesão constrói joias com pedras preciosas cinzas e brancas, seguindo um determinado padrão, conforme mostrado nas figuras a seguir.

Enunciado 4863299-1

Nos quadradinhos cinzas, serão utilizadas pedras preciosas cinzas e nos quadradinhos brancos serão utilizadas pedras preciosas brancas.

Seguindo o mesmo padrão, quantas pedras preciosas cinzas ele utilizará a mais do que as brancas na construção da 50ª figura?
 

Provas

Questão presente nas seguintes provas
3899721 Ano: 2024
Disciplina: Matemática
Banca: IDESG
Orgão: Pref. Nova Venécia-ES
Provas:

A figura a seguir apresenta um triângulo isósceles MNO de base \(\overline{ON}\)

 

 

Enunciado 4863297-1

 

 

As mediatrizes \( \overline{A} \)\( \overline{X} \) e \( \overline{B} \)\( \overline{X} \)  formam o ângulo obtuso \(\widehat{X}\) e o ângulo \(\widehat{N}\) é 2/3 da medida do ângulo \(\widehat{X}\). Qual a medida do menor ângulo do triângulo MNO?

 

Provas

Questão presente nas seguintes provas
3899720 Ano: 2024
Disciplina: Matemática
Banca: IDESG
Orgão: Pref. Nova Venécia-ES
Provas:
Considere uma matriz M quadrada de ordem 5. Sabendo que det(M) = -8, determine o valor de x para que det(3M) = x − 1945.
 

Provas

Questão presente nas seguintes provas
3899719 Ano: 2024
Disciplina: Matemática
Banca: IDESG
Orgão: Pref. Nova Venécia-ES
Provas:
Maurício passou uma questão de matemática para suas três alunas: Ana, Bruna e Cláudia. A probabilidade de Ana conseguir acertar a questão é 20%; a probabilidade de Bruna conseguir acertar é 2/3 e a probabilidade da Cláudia conseguir acertar é 1/2 . Qual é a probabilidade de que pelo menos uma delas acerte a questão?
 

Provas

Questão presente nas seguintes provas
3899718 Ano: 2024
Disciplina: Matemática
Banca: IDESG
Orgão: Pref. Nova Venécia-ES
Provas:
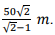
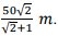
Uma criança olha para o topo de uma árvore sob um ângulo de 60º. Em determinando momento, essa criança se distancia 50 metros dessa árvore e olha novamente para o topo dela, mas agora sob um ângulo de 45º. Desconsiderando a altura da criança, qual é a altura dessa árvore?
 

Provas

Questão presente nas seguintes provas