Magna Concursos

Foram encontradas 50 questões.

Atenção: Leia atentamente o texto a seguir e responda a questão:
Sabia que o detox pode fazer mais mal do que bem ao seu corpo?

Veja o que dizem os especialistas
   Nesta época do ano, especialmente por conta do verão, o que não falta é conteúdo que se aproveite da ansiedade causada pelo excesso de açúcar ou de bebida alcóolica que podemos ter consumido ao longo dos dias e das férias – e dos quilos extras que podem ter se seguido.
    Basta pesquisar "detox" ou "limpeza" nas redes sociais. É um setor global multibilionário. Embora seja completamente normal que o corpo mude e nenhum alimento seja ruim com moderação, você pode se perguntar: devo experimentar uma dessas “dietas mágicas” de desintoxicação e limpeza do organismo? E será que elas realmente funcionam?
    A resposta, como a maioria das coisas que envolvem o corpo, é complicada. Nenhuma pesquisa séria e de qualidade sugere qualquer benefício de longo prazo associado a dietas de limpezas ou detox, de acordo com Melissa Prest, nutricionista certificada e porta-voz da Academy of Nutrition and Dietetics, dos Estados Unidos. Algumas podem, na verdade, ser prejudiciais, especialmente sem supervisão médica.
    Por outro lado, algumas pessoas juram que se sentem melhor ao fazer uma dieta de limpeza – com mais energia, pensamento mais claro, menos inchaço. Prest diz que isso não é surpreendente: "Se alguém que talvez esteja comendo muitos alimentos ultraprocessados, com açúcares refinados, sem muita fibra, com pouquíssimas frutas e vegetais, e agora está substituindo esses alimentos, mesmo em quantidades menores, por alimentos ricos em nutrientes, é claro que se sentirá melhor."
  Em última análise, certas mudanças em sua dieta podem trazer benefícios a curto prazo, mas mesmo essas mudanças vêm com ressalvas consideráveis.
   O que é uma dieta de “limpeza”?
   Não há uma definição específica do que é uma limpeza ou detox do organismo, mas a nutricionista Prest diz que ela normalmente envolve a restrição da dieta por um curto período de tempo com a intenção de desintoxicar o corpo – seja de subprodutos naturais, como o ácido lático, ou de forças externas, como mercúrio em frutos do mar ou poluentes.
  Fazer uma limpeza pode significar cortar os laticínios ou o glúten por um mês, fazer uma dieta líquida e só beber sucos por uma semana, ou simplesmente jejuar. Até mesmo dietas como Whole 30 ou a dieta cetogênica podem ser consideradas limpezas.
   Mas a Academy of Nutrition and Dietetics, a maior organização mundial de profissionais de nutrição e dietética, não recomenda as limpezas. Prest diz que isso se deve ao fato de o corpo já ter seu próprio processo altamente eficaz para se livrar das toxinas, principalmente por meio do fígado, dos rins e do sistema digestivo. Por exemplo, o corpo pode metabolizar o álcool em apenas um dia, dependendo do número de drinques consumidos (e da intensidade deles).
  A maioria das dietas de limpeza se enquadra na categoria de "dietas da moda", que geralmente cortam grupos de alimentos, não fornecem nutrição adequada e promovem mudanças de curto prazo que são difíceis de manter, de acordo com um estudo de 2022 na revista científica Frontiers.
  Muitas empresas que oferecem limpezas rotulam seus produtos como "apoiados por pesquisas". Mas essas descobertas podem ser manipuladas para se adequar a uma narrativa. Por exemplo, uma "desintoxicação com água com limão" se tornou algo básico para quem se preocupa com a limpeza. Mas um estudo, frequentemente citado como base para essa limpeza, monitorou menos de cem participantes por apenas 11 dias.
  "A maioria das mudanças positivas também foi observada entre os participantes de uma dieta com restrição calórica semelhante, sem a mesma mistura de suco de limão", diz Melinda Ring, especialista em medicina interna e integrativa da Northwestern Medicine e diretora do Osher Center for Integrative Health da Northwestern University, nos Estados Unidos.
  Muitos desses estudos também são feitos em animais, cujos resultados não são facilmente transferidos para os seres humanos.
Fonte: https://www.nationalgeographicbrasil.com/ciencia/2024/02/
(adaptado).
Considere as seguintes afirmações sobre a classificação das palavras e escolha a opção correta:

I. "Multibilionário" é um exemplo de palavra composta por regressão.
II. "Ultraprocessados" é formado por um processo de derivação imprópria.
III. "Nutricionista" é um exemplo de derivação sufixal, indicando profissão.

Das assertivas, pode-se afirmar que:
 

Provas

Questão presente nas seguintes provas
Atenção: Leia atentamente o texto a seguir e responda a questão:
Sabia que o detox pode fazer mais mal do que bem ao seu corpo?

Veja o que dizem os especialistas
   Nesta época do ano, especialmente por conta do verão, o que não falta é conteúdo que se aproveite da ansiedade causada pelo excesso de açúcar ou de bebida alcóolica que podemos ter consumido ao longo dos dias e das férias – e dos quilos extras que podem ter se seguido.
    Basta pesquisar "detox" ou "limpeza" nas redes sociais. É um setor global multibilionário. Embora seja completamente normal que o corpo mude e nenhum alimento seja ruim com moderação, você pode se perguntar: devo experimentar uma dessas “dietas mágicas” de desintoxicação e limpeza do organismo? E será que elas realmente funcionam?
    A resposta, como a maioria das coisas que envolvem o corpo, é complicada. Nenhuma pesquisa séria e de qualidade sugere qualquer benefício de longo prazo associado a dietas de limpezas ou detox, de acordo com Melissa Prest, nutricionista certificada e porta-voz da Academy of Nutrition and Dietetics, dos Estados Unidos. Algumas podem, na verdade, ser prejudiciais, especialmente sem supervisão médica.
    Por outro lado, algumas pessoas juram que se sentem melhor ao fazer uma dieta de limpeza – com mais energia, pensamento mais claro, menos inchaço. Prest diz que isso não é surpreendente: "Se alguém que talvez esteja comendo muitos alimentos ultraprocessados, com açúcares refinados, sem muita fibra, com pouquíssimas frutas e vegetais, e agora está substituindo esses alimentos, mesmo em quantidades menores, por alimentos ricos em nutrientes, é claro que se sentirá melhor."
  Em última análise, certas mudanças em sua dieta podem trazer benefícios a curto prazo, mas mesmo essas mudanças vêm com ressalvas consideráveis.
   O que é uma dieta de “limpeza”?
   Não há uma definição específica do que é uma limpeza ou detox do organismo, mas a nutricionista Prest diz que ela normalmente envolve a restrição da dieta por um curto período de tempo com a intenção de desintoxicar o corpo – seja de subprodutos naturais, como o ácido lático, ou de forças externas, como mercúrio em frutos do mar ou poluentes.
  Fazer uma limpeza pode significar cortar os laticínios ou o glúten por um mês, fazer uma dieta líquida e só beber sucos por uma semana, ou simplesmente jejuar. Até mesmo dietas como Whole 30 ou a dieta cetogênica podem ser consideradas limpezas.
   Mas a Academy of Nutrition and Dietetics, a maior organização mundial de profissionais de nutrição e dietética, não recomenda as limpezas. Prest diz que isso se deve ao fato de o corpo já ter seu próprio processo altamente eficaz para se livrar das toxinas, principalmente por meio do fígado, dos rins e do sistema digestivo. Por exemplo, o corpo pode metabolizar o álcool em apenas um dia, dependendo do número de drinques consumidos (e da intensidade deles).
  A maioria das dietas de limpeza se enquadra na categoria de "dietas da moda", que geralmente cortam grupos de alimentos, não fornecem nutrição adequada e promovem mudanças de curto prazo que são difíceis de manter, de acordo com um estudo de 2022 na revista científica Frontiers.
  Muitas empresas que oferecem limpezas rotulam seus produtos como "apoiados por pesquisas". Mas essas descobertas podem ser manipuladas para se adequar a uma narrativa. Por exemplo, uma "desintoxicação com água com limão" se tornou algo básico para quem se preocupa com a limpeza. Mas um estudo, frequentemente citado como base para essa limpeza, monitorou menos de cem participantes por apenas 11 dias.
  "A maioria das mudanças positivas também foi observada entre os participantes de uma dieta com restrição calórica semelhante, sem a mesma mistura de suco de limão", diz Melinda Ring, especialista em medicina interna e integrativa da Northwestern Medicine e diretora do Osher Center for Integrative Health da Northwestern University, nos Estados Unidos.
  Muitos desses estudos também são feitos em animais, cujos resultados não são facilmente transferidos para os seres humanos.
Fonte: https://www.nationalgeographicbrasil.com/ciencia/2024/02/
(adaptado).
Em "se sentem melhor ao fazer uma dieta de limpeza", o pronome "se" é um exemplo de qual colocação pronominal?
 

Provas

Questão presente nas seguintes provas
Atenção: Leia atentamente o texto a seguir e responda a questão:
Sabia que o detox pode fazer mais mal do que bem ao seu corpo?

Veja o que dizem os especialistas
   Nesta época do ano, especialmente por conta do verão, o que não falta é conteúdo que se aproveite da ansiedade causada pelo excesso de açúcar ou de bebida alcóolica que podemos ter consumido ao longo dos dias e das férias – e dos quilos extras que podem ter se seguido.
    Basta pesquisar "detox" ou "limpeza" nas redes sociais. É um setor global multibilionário. Embora seja completamente normal que o corpo mude e nenhum alimento seja ruim com moderação, você pode se perguntar: devo experimentar uma dessas “dietas mágicas” de desintoxicação e limpeza do organismo? E será que elas realmente funcionam?
    A resposta, como a maioria das coisas que envolvem o corpo, é complicada. Nenhuma pesquisa séria e de qualidade sugere qualquer benefício de longo prazo associado a dietas de limpezas ou detox, de acordo com Melissa Prest, nutricionista certificada e porta-voz da Academy of Nutrition and Dietetics, dos Estados Unidos. Algumas podem, na verdade, ser prejudiciais, especialmente sem supervisão médica.
    Por outro lado, algumas pessoas juram que se sentem melhor ao fazer uma dieta de limpeza – com mais energia, pensamento mais claro, menos inchaço. Prest diz que isso não é surpreendente: "Se alguém que talvez esteja comendo muitos alimentos ultraprocessados, com açúcares refinados, sem muita fibra, com pouquíssimas frutas e vegetais, e agora está substituindo esses alimentos, mesmo em quantidades menores, por alimentos ricos em nutrientes, é claro que se sentirá melhor."
  Em última análise, certas mudanças em sua dieta podem trazer benefícios a curto prazo, mas mesmo essas mudanças vêm com ressalvas consideráveis.
   O que é uma dieta de “limpeza”?
   Não há uma definição específica do que é uma limpeza ou detox do organismo, mas a nutricionista Prest diz que ela normalmente envolve a restrição da dieta por um curto período de tempo com a intenção de desintoxicar o corpo – seja de subprodutos naturais, como o ácido lático, ou de forças externas, como mercúrio em frutos do mar ou poluentes.
  Fazer uma limpeza pode significar cortar os laticínios ou o glúten por um mês, fazer uma dieta líquida e só beber sucos por uma semana, ou simplesmente jejuar. Até mesmo dietas como Whole 30 ou a dieta cetogênica podem ser consideradas limpezas.
   Mas a Academy of Nutrition and Dietetics, a maior organização mundial de profissionais de nutrição e dietética, não recomenda as limpezas. Prest diz que isso se deve ao fato de o corpo já ter seu próprio processo altamente eficaz para se livrar das toxinas, principalmente por meio do fígado, dos rins e do sistema digestivo. Por exemplo, o corpo pode metabolizar o álcool em apenas um dia, dependendo do número de drinques consumidos (e da intensidade deles).
  A maioria das dietas de limpeza se enquadra na categoria de "dietas da moda", que geralmente cortam grupos de alimentos, não fornecem nutrição adequada e promovem mudanças de curto prazo que são difíceis de manter, de acordo com um estudo de 2022 na revista científica Frontiers.
  Muitas empresas que oferecem limpezas rotulam seus produtos como "apoiados por pesquisas". Mas essas descobertas podem ser manipuladas para se adequar a uma narrativa. Por exemplo, uma "desintoxicação com água com limão" se tornou algo básico para quem se preocupa com a limpeza. Mas um estudo, frequentemente citado como base para essa limpeza, monitorou menos de cem participantes por apenas 11 dias.
  "A maioria das mudanças positivas também foi observada entre os participantes de uma dieta com restrição calórica semelhante, sem a mesma mistura de suco de limão", diz Melinda Ring, especialista em medicina interna e integrativa da Northwestern Medicine e diretora do Osher Center for Integrative Health da Northwestern University, nos Estados Unidos.
  Muitos desses estudos também são feitos em animais, cujos resultados não são facilmente transferidos para os seres humanos.
Fonte: https://www.nationalgeographicbrasil.com/ciencia/2024/02/
(adaptado).
Analise as seguintes assertivas sobre o emprego de palavras e expressões no texto:

I. A palavra "detox" é um exemplo de empréstimo linguístico do inglês, adaptado ao português para descrever um conceito de dieta.
II. "Álcool" é acentuado graficamente seguindo a regra de acentuação das paroxítonas terminadas em "l".
III. A expressão "dietas da moda" utiliza a forma "da" como uma contração da preposição "de" com o artigo definido "a", indicando posse.

Das assertivas, pode-se afirmar que:
 

Provas

Questão presente nas seguintes provas
Atenção: Leia atentamente o texto a seguir e responda a questão:
Sabia que o detox pode fazer mais mal do que bem ao seu corpo?

Veja o que dizem os especialistas
   Nesta época do ano, especialmente por conta do verão, o que não falta é conteúdo que se aproveite da ansiedade causada pelo excesso de açúcar ou de bebida alcóolica que podemos ter consumido ao longo dos dias e das férias – e dos quilos extras que podem ter se seguido.
    Basta pesquisar "detox" ou "limpeza" nas redes sociais. É um setor global multibilionário. Embora seja completamente normal que o corpo mude e nenhum alimento seja ruim com moderação, você pode se perguntar: devo experimentar uma dessas “dietas mágicas” de desintoxicação e limpeza do organismo? E será que elas realmente funcionam?
    A resposta, como a maioria das coisas que envolvem o corpo, é complicada. Nenhuma pesquisa séria e de qualidade sugere qualquer benefício de longo prazo associado a dietas de limpezas ou detox, de acordo com Melissa Prest, nutricionista certificada e porta-voz da Academy of Nutrition and Dietetics, dos Estados Unidos. Algumas podem, na verdade, ser prejudiciais, especialmente sem supervisão médica.
    Por outro lado, algumas pessoas juram que se sentem melhor ao fazer uma dieta de limpeza – com mais energia, pensamento mais claro, menos inchaço. Prest diz que isso não é surpreendente: "Se alguém que talvez esteja comendo muitos alimentos ultraprocessados, com açúcares refinados, sem muita fibra, com pouquíssimas frutas e vegetais, e agora está substituindo esses alimentos, mesmo em quantidades menores, por alimentos ricos em nutrientes, é claro que se sentirá melhor."
  Em última análise, certas mudanças em sua dieta podem trazer benefícios a curto prazo, mas mesmo essas mudanças vêm com ressalvas consideráveis.
   O que é uma dieta de “limpeza”?
   Não há uma definição específica do que é uma limpeza ou detox do organismo, mas a nutricionista Prest diz que ela normalmente envolve a restrição da dieta por um curto período de tempo com a intenção de desintoxicar o corpo – seja de subprodutos naturais, como o ácido lático, ou de forças externas, como mercúrio em frutos do mar ou poluentes.
  Fazer uma limpeza pode significar cortar os laticínios ou o glúten por um mês, fazer uma dieta líquida e só beber sucos por uma semana, ou simplesmente jejuar. Até mesmo dietas como Whole 30 ou a dieta cetogênica podem ser consideradas limpezas.
   Mas a Academy of Nutrition and Dietetics, a maior organização mundial de profissionais de nutrição e dietética, não recomenda as limpezas. Prest diz que isso se deve ao fato de o corpo já ter seu próprio processo altamente eficaz para se livrar das toxinas, principalmente por meio do fígado, dos rins e do sistema digestivo. Por exemplo, o corpo pode metabolizar o álcool em apenas um dia, dependendo do número de drinques consumidos (e da intensidade deles).
  A maioria das dietas de limpeza se enquadra na categoria de "dietas da moda", que geralmente cortam grupos de alimentos, não fornecem nutrição adequada e promovem mudanças de curto prazo que são difíceis de manter, de acordo com um estudo de 2022 na revista científica Frontiers.
  Muitas empresas que oferecem limpezas rotulam seus produtos como "apoiados por pesquisas". Mas essas descobertas podem ser manipuladas para se adequar a uma narrativa. Por exemplo, uma "desintoxicação com água com limão" se tornou algo básico para quem se preocupa com a limpeza. Mas um estudo, frequentemente citado como base para essa limpeza, monitorou menos de cem participantes por apenas 11 dias.
  "A maioria das mudanças positivas também foi observada entre os participantes de uma dieta com restrição calórica semelhante, sem a mesma mistura de suco de limão", diz Melinda Ring, especialista em medicina interna e integrativa da Northwestern Medicine e diretora do Osher Center for Integrative Health da Northwestern University, nos Estados Unidos.
  Muitos desses estudos também são feitos em animais, cujos resultados não são facilmente transferidos para os seres humanos.
Fonte: https://www.nationalgeographicbrasil.com/ciencia/2024/02/
(adaptado).
Sobre a validade das pesquisas frequentemente citadas para apoiar dietas de detox, o texto sugere que: 

I. São conclusivas e fornecem uma base sólida para a eficácia das dietas de detox.
II. Podem ser manipuladas e não necessariamente se aplicam aos humanos.
III. São realizadas com um grande número de participantes e por longos períodos.

Das assertivas, pode-se afirmar que:
 

Provas

Questão presente nas seguintes provas
Atenção: Leia atentamente o texto a seguir e responda a questão:
Sabia que o detox pode fazer mais mal do que bem ao seu corpo?

Veja o que dizem os especialistas
   Nesta época do ano, especialmente por conta do verão, o que não falta é conteúdo que se aproveite da ansiedade causada pelo excesso de açúcar ou de bebida alcóolica que podemos ter consumido ao longo dos dias e das férias – e dos quilos extras que podem ter se seguido.
    Basta pesquisar "detox" ou "limpeza" nas redes sociais. É um setor global multibilionário. Embora seja completamente normal que o corpo mude e nenhum alimento seja ruim com moderação, você pode se perguntar: devo experimentar uma dessas “dietas mágicas” de desintoxicação e limpeza do organismo? E será que elas realmente funcionam?
    A resposta, como a maioria das coisas que envolvem o corpo, é complicada. Nenhuma pesquisa séria e de qualidade sugere qualquer benefício de longo prazo associado a dietas de limpezas ou detox, de acordo com Melissa Prest, nutricionista certificada e porta-voz da Academy of Nutrition and Dietetics, dos Estados Unidos. Algumas podem, na verdade, ser prejudiciais, especialmente sem supervisão médica.
    Por outro lado, algumas pessoas juram que se sentem melhor ao fazer uma dieta de limpeza – com mais energia, pensamento mais claro, menos inchaço. Prest diz que isso não é surpreendente: "Se alguém que talvez esteja comendo muitos alimentos ultraprocessados, com açúcares refinados, sem muita fibra, com pouquíssimas frutas e vegetais, e agora está substituindo esses alimentos, mesmo em quantidades menores, por alimentos ricos em nutrientes, é claro que se sentirá melhor."
  Em última análise, certas mudanças em sua dieta podem trazer benefícios a curto prazo, mas mesmo essas mudanças vêm com ressalvas consideráveis.
   O que é uma dieta de “limpeza”?
   Não há uma definição específica do que é uma limpeza ou detox do organismo, mas a nutricionista Prest diz que ela normalmente envolve a restrição da dieta por um curto período de tempo com a intenção de desintoxicar o corpo – seja de subprodutos naturais, como o ácido lático, ou de forças externas, como mercúrio em frutos do mar ou poluentes.
  Fazer uma limpeza pode significar cortar os laticínios ou o glúten por um mês, fazer uma dieta líquida e só beber sucos por uma semana, ou simplesmente jejuar. Até mesmo dietas como Whole 30 ou a dieta cetogênica podem ser consideradas limpezas.
   Mas a Academy of Nutrition and Dietetics, a maior organização mundial de profissionais de nutrição e dietética, não recomenda as limpezas. Prest diz que isso se deve ao fato de o corpo já ter seu próprio processo altamente eficaz para se livrar das toxinas, principalmente por meio do fígado, dos rins e do sistema digestivo. Por exemplo, o corpo pode metabolizar o álcool em apenas um dia, dependendo do número de drinques consumidos (e da intensidade deles).
  A maioria das dietas de limpeza se enquadra na categoria de "dietas da moda", que geralmente cortam grupos de alimentos, não fornecem nutrição adequada e promovem mudanças de curto prazo que são difíceis de manter, de acordo com um estudo de 2022 na revista científica Frontiers.
  Muitas empresas que oferecem limpezas rotulam seus produtos como "apoiados por pesquisas". Mas essas descobertas podem ser manipuladas para se adequar a uma narrativa. Por exemplo, uma "desintoxicação com água com limão" se tornou algo básico para quem se preocupa com a limpeza. Mas um estudo, frequentemente citado como base para essa limpeza, monitorou menos de cem participantes por apenas 11 dias.
  "A maioria das mudanças positivas também foi observada entre os participantes de uma dieta com restrição calórica semelhante, sem a mesma mistura de suco de limão", diz Melinda Ring, especialista em medicina interna e integrativa da Northwestern Medicine e diretora do Osher Center for Integrative Health da Northwestern University, nos Estados Unidos.
  Muitos desses estudos também são feitos em animais, cujos resultados não são facilmente transferidos para os seres humanos.
Fonte: https://www.nationalgeographicbrasil.com/ciencia/2024/02/
(adaptado).
Qual função do fígado, dos rins e do sistema digestivo é destacada no contexto das dietas de detox?
 

Provas

Questão presente nas seguintes provas
Atenção: Leia atentamente o texto a seguir e responda a questão:
Sabia que o detox pode fazer mais mal do que bem ao seu corpo?

Veja o que dizem os especialistas
   Nesta época do ano, especialmente por conta do verão, o que não falta é conteúdo que se aproveite da ansiedade causada pelo excesso de açúcar ou de bebida alcóolica que podemos ter consumido ao longo dos dias e das férias – e dos quilos extras que podem ter se seguido.
    Basta pesquisar "detox" ou "limpeza" nas redes sociais. É um setor global multibilionário. Embora seja completamente normal que o corpo mude e nenhum alimento seja ruim com moderação, você pode se perguntar: devo experimentar uma dessas “dietas mágicas” de desintoxicação e limpeza do organismo? E será que elas realmente funcionam?
    A resposta, como a maioria das coisas que envolvem o corpo, é complicada. Nenhuma pesquisa séria e de qualidade sugere qualquer benefício de longo prazo associado a dietas de limpezas ou detox, de acordo com Melissa Prest, nutricionista certificada e porta-voz da Academy of Nutrition and Dietetics, dos Estados Unidos. Algumas podem, na verdade, ser prejudiciais, especialmente sem supervisão médica.
    Por outro lado, algumas pessoas juram que se sentem melhor ao fazer uma dieta de limpeza – com mais energia, pensamento mais claro, menos inchaço. Prest diz que isso não é surpreendente: "Se alguém que talvez esteja comendo muitos alimentos ultraprocessados, com açúcares refinados, sem muita fibra, com pouquíssimas frutas e vegetais, e agora está substituindo esses alimentos, mesmo em quantidades menores, por alimentos ricos em nutrientes, é claro que se sentirá melhor."
  Em última análise, certas mudanças em sua dieta podem trazer benefícios a curto prazo, mas mesmo essas mudanças vêm com ressalvas consideráveis.
   O que é uma dieta de “limpeza”?
   Não há uma definição específica do que é uma limpeza ou detox do organismo, mas a nutricionista Prest diz que ela normalmente envolve a restrição da dieta por um curto período de tempo com a intenção de desintoxicar o corpo – seja de subprodutos naturais, como o ácido lático, ou de forças externas, como mercúrio em frutos do mar ou poluentes.
  Fazer uma limpeza pode significar cortar os laticínios ou o glúten por um mês, fazer uma dieta líquida e só beber sucos por uma semana, ou simplesmente jejuar. Até mesmo dietas como Whole 30 ou a dieta cetogênica podem ser consideradas limpezas.
   Mas a Academy of Nutrition and Dietetics, a maior organização mundial de profissionais de nutrição e dietética, não recomenda as limpezas. Prest diz que isso se deve ao fato de o corpo já ter seu próprio processo altamente eficaz para se livrar das toxinas, principalmente por meio do fígado, dos rins e do sistema digestivo. Por exemplo, o corpo pode metabolizar o álcool em apenas um dia, dependendo do número de drinques consumidos (e da intensidade deles).
  A maioria das dietas de limpeza se enquadra na categoria de "dietas da moda", que geralmente cortam grupos de alimentos, não fornecem nutrição adequada e promovem mudanças de curto prazo que são difíceis de manter, de acordo com um estudo de 2022 na revista científica Frontiers.
  Muitas empresas que oferecem limpezas rotulam seus produtos como "apoiados por pesquisas". Mas essas descobertas podem ser manipuladas para se adequar a uma narrativa. Por exemplo, uma "desintoxicação com água com limão" se tornou algo básico para quem se preocupa com a limpeza. Mas um estudo, frequentemente citado como base para essa limpeza, monitorou menos de cem participantes por apenas 11 dias.
  "A maioria das mudanças positivas também foi observada entre os participantes de uma dieta com restrição calórica semelhante, sem a mesma mistura de suco de limão", diz Melinda Ring, especialista em medicina interna e integrativa da Northwestern Medicine e diretora do Osher Center for Integrative Health da Northwestern University, nos Estados Unidos.
  Muitos desses estudos também são feitos em animais, cujos resultados não são facilmente transferidos para os seres humanos.
Fonte: https://www.nationalgeographicbrasil.com/ciencia/2024/02/
(adaptado).
Qual alternativa apresenta uma palavra do texto composta por doze fonemas?
 

Provas

Questão presente nas seguintes provas
Atenção: Leia atentamente o texto a seguir e responda a questão:
Sabia que o detox pode fazer mais mal do que bem ao seu corpo?

Veja o que dizem os especialistas
   Nesta época do ano, especialmente por conta do verão, o que não falta é conteúdo que se aproveite da ansiedade causada pelo excesso de açúcar ou de bebida alcóolica que podemos ter consumido ao longo dos dias e das férias – e dos quilos extras que podem ter se seguido.
    Basta pesquisar "detox" ou "limpeza" nas redes sociais. É um setor global multibilionário. Embora seja completamente normal que o corpo mude e nenhum alimento seja ruim com moderação, você pode se perguntar: devo experimentar uma dessas “dietas mágicas” de desintoxicação e limpeza do organismo? E será que elas realmente funcionam?
    A resposta, como a maioria das coisas que envolvem o corpo, é complicada. Nenhuma pesquisa séria e de qualidade sugere qualquer benefício de longo prazo associado a dietas de limpezas ou detox, de acordo com Melissa Prest, nutricionista certificada e porta-voz da Academy of Nutrition and Dietetics, dos Estados Unidos. Algumas podem, na verdade, ser prejudiciais, especialmente sem supervisão médica.
    Por outro lado, algumas pessoas juram que se sentem melhor ao fazer uma dieta de limpeza – com mais energia, pensamento mais claro, menos inchaço. Prest diz que isso não é surpreendente: "Se alguém que talvez esteja comendo muitos alimentos ultraprocessados, com açúcares refinados, sem muita fibra, com pouquíssimas frutas e vegetais, e agora está substituindo esses alimentos, mesmo em quantidades menores, por alimentos ricos em nutrientes, é claro que se sentirá melhor."
  Em última análise, certas mudanças em sua dieta podem trazer benefícios a curto prazo, mas mesmo essas mudanças vêm com ressalvas consideráveis.
   O que é uma dieta de “limpeza”?
   Não há uma definição específica do que é uma limpeza ou detox do organismo, mas a nutricionista Prest diz que ela normalmente envolve a restrição da dieta por um curto período de tempo com a intenção de desintoxicar o corpo – seja de subprodutos naturais, como o ácido lático, ou de forças externas, como mercúrio em frutos do mar ou poluentes.
  Fazer uma limpeza pode significar cortar os laticínios ou o glúten por um mês, fazer uma dieta líquida e só beber sucos por uma semana, ou simplesmente jejuar. Até mesmo dietas como Whole 30 ou a dieta cetogênica podem ser consideradas limpezas.
   Mas a Academy of Nutrition and Dietetics, a maior organização mundial de profissionais de nutrição e dietética, não recomenda as limpezas. Prest diz que isso se deve ao fato de o corpo já ter seu próprio processo altamente eficaz para se livrar das toxinas, principalmente por meio do fígado, dos rins e do sistema digestivo. Por exemplo, o corpo pode metabolizar o álcool em apenas um dia, dependendo do número de drinques consumidos (e da intensidade deles).
  A maioria das dietas de limpeza se enquadra na categoria de "dietas da moda", que geralmente cortam grupos de alimentos, não fornecem nutrição adequada e promovem mudanças de curto prazo que são difíceis de manter, de acordo com um estudo de 2022 na revista científica Frontiers.
  Muitas empresas que oferecem limpezas rotulam seus produtos como "apoiados por pesquisas". Mas essas descobertas podem ser manipuladas para se adequar a uma narrativa. Por exemplo, uma "desintoxicação com água com limão" se tornou algo básico para quem se preocupa com a limpeza. Mas um estudo, frequentemente citado como base para essa limpeza, monitorou menos de cem participantes por apenas 11 dias.
  "A maioria das mudanças positivas também foi observada entre os participantes de uma dieta com restrição calórica semelhante, sem a mesma mistura de suco de limão", diz Melinda Ring, especialista em medicina interna e integrativa da Northwestern Medicine e diretora do Osher Center for Integrative Health da Northwestern University, nos Estados Unidos.
  Muitos desses estudos também são feitos em animais, cujos resultados não são facilmente transferidos para os seres humanos.
Fonte: https://www.nationalgeographicbrasil.com/ciencia/2024/02/
(adaptado).
Segundo o texto, por que algumas pessoas afirmam se sentir melhor ao adotar uma dieta de limpeza?
 

Provas

Questão presente nas seguintes provas
Atenção: Leia atentamente o texto a seguir e responda a questão:
Sabia que o detox pode fazer mais mal do que bem ao seu corpo?

Veja o que dizem os especialistas
   Nesta época do ano, especialmente por conta do verão, o que não falta é conteúdo que se aproveite da ansiedade causada pelo excesso de açúcar ou de bebida alcóolica que podemos ter consumido ao longo dos dias e das férias – e dos quilos extras que podem ter se seguido.
    Basta pesquisar "detox" ou "limpeza" nas redes sociais. É um setor global multibilionário. Embora seja completamente normal que o corpo mude e nenhum alimento seja ruim com moderação, você pode se perguntar: devo experimentar uma dessas “dietas mágicas” de desintoxicação e limpeza do organismo? E será que elas realmente funcionam?
    A resposta, como a maioria das coisas que envolvem o corpo, é complicada. Nenhuma pesquisa séria e de qualidade sugere qualquer benefício de longo prazo associado a dietas de limpezas ou detox, de acordo com Melissa Prest, nutricionista certificada e porta-voz da Academy of Nutrition and Dietetics, dos Estados Unidos. Algumas podem, na verdade, ser prejudiciais, especialmente sem supervisão médica.
    Por outro lado, algumas pessoas juram que se sentem melhor ao fazer uma dieta de limpeza – com mais energia, pensamento mais claro, menos inchaço. Prest diz que isso não é surpreendente: "Se alguém que talvez esteja comendo muitos alimentos ultraprocessados, com açúcares refinados, sem muita fibra, com pouquíssimas frutas e vegetais, e agora está substituindo esses alimentos, mesmo em quantidades menores, por alimentos ricos em nutrientes, é claro que se sentirá melhor."
  Em última análise, certas mudanças em sua dieta podem trazer benefícios a curto prazo, mas mesmo essas mudanças vêm com ressalvas consideráveis.
   O que é uma dieta de “limpeza”?
   Não há uma definição específica do que é uma limpeza ou detox do organismo, mas a nutricionista Prest diz que ela normalmente envolve a restrição da dieta por um curto período de tempo com a intenção de desintoxicar o corpo – seja de subprodutos naturais, como o ácido lático, ou de forças externas, como mercúrio em frutos do mar ou poluentes.
  Fazer uma limpeza pode significar cortar os laticínios ou o glúten por um mês, fazer uma dieta líquida e só beber sucos por uma semana, ou simplesmente jejuar. Até mesmo dietas como Whole 30 ou a dieta cetogênica podem ser consideradas limpezas.
   Mas a Academy of Nutrition and Dietetics, a maior organização mundial de profissionais de nutrição e dietética, não recomenda as limpezas. Prest diz que isso se deve ao fato de o corpo já ter seu próprio processo altamente eficaz para se livrar das toxinas, principalmente por meio do fígado, dos rins e do sistema digestivo. Por exemplo, o corpo pode metabolizar o álcool em apenas um dia, dependendo do número de drinques consumidos (e da intensidade deles).
  A maioria das dietas de limpeza se enquadra na categoria de "dietas da moda", que geralmente cortam grupos de alimentos, não fornecem nutrição adequada e promovem mudanças de curto prazo que são difíceis de manter, de acordo com um estudo de 2022 na revista científica Frontiers.
  Muitas empresas que oferecem limpezas rotulam seus produtos como "apoiados por pesquisas". Mas essas descobertas podem ser manipuladas para se adequar a uma narrativa. Por exemplo, uma "desintoxicação com água com limão" se tornou algo básico para quem se preocupa com a limpeza. Mas um estudo, frequentemente citado como base para essa limpeza, monitorou menos de cem participantes por apenas 11 dias.
  "A maioria das mudanças positivas também foi observada entre os participantes de uma dieta com restrição calórica semelhante, sem a mesma mistura de suco de limão", diz Melinda Ring, especialista em medicina interna e integrativa da Northwestern Medicine e diretora do Osher Center for Integrative Health da Northwestern University, nos Estados Unidos.
  Muitos desses estudos também são feitos em animais, cujos resultados não são facilmente transferidos para os seres humanos.
Fonte: https://www.nationalgeographicbrasil.com/ciencia/2024/02/
(adaptado).
De acordo com o texto, qual é a principal crítica feita às dietas de detox ou limpeza?
 

Provas

Questão presente nas seguintes provas
3899795 Ano: 2024
Disciplina: Matemática
Banca: IDESG
Orgão: Pref. Nova Venécia-ES
Provas:

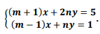
Considere o sistema:

Enunciado 4863298-1

Considerando que a solução desse sistema seja dada por m = 1 e n = 2, então o valor da expressão (m + n)2 é:

Questão Anulada

Provas

Questão presente nas seguintes provas
3899794 Ano: 2024
Disciplina: Matemática
Banca: IDESG
Orgão: Pref. Nova Venécia-ES
Provas:
Qual a derivada da função g(x) = (x2 − 3)5 In[1+ cos(2x)] ?
Questão Anulada

Provas

Questão presente nas seguintes provas