Magna Concursos

Foram encontradas 60 questões.

3916699 Ano: 2025
Disciplina: Geografia
Banca: CETREDE
Orgão: Pref. Paramoti-CE
Provas:
A origem do topônimo “Paramoti” está relacionada à(ao)
 

Provas

Questão presente nas seguintes provas
3916698 Ano: 2025
Disciplina: Geografia
Banca: CETREDE
Orgão: Pref. Paramoti-CE
Provas:
Paramoti é um município localizado no Sertão de Canindé, no Ceará. Qual das afirmativas apresenta corretamente uma de suas características geográficas?
 

Provas

Questão presente nas seguintes provas
3916697 Ano: 2025
Disciplina: História
Banca: CETREDE
Orgão: Pref. Paramoti-CE
Provas:
O que é a base produtiva histórica de Paramoti/CE?
 

Provas

Questão presente nas seguintes provas
3916696 Ano: 2025
Disciplina: Matemática
Banca: CETREDE
Orgão: Pref. Paramoti-CE
Provas:
Um triângulo retângulo tem hipotenusa de 25 cm e um dos catetos de 20 cm. O outro cateto mede
 

Provas

Questão presente nas seguintes provas
3916695 Ano: 2025
Disciplina: Matemática
Banca: CETREDE
Orgão: Pref. Paramoti-CE
Provas:
Um triângulo isóceles tem lados iguais medindo 10 cm e base de 12 cm. Calculando a área, encontraremos o valor da opção
 

Provas

Questão presente nas seguintes provas
3916694 Ano: 2025
Disciplina: Matemática
Banca: CETREDE
Orgão: Pref. Paramoti-CE
Provas:
Um terreno retangular mede 2,4 hm de comprimento por 350 m de largura. Sua área, em m², é de
 

Provas

Questão presente nas seguintes provas
3916693 Ano: 2025
Disciplina: Matemática
Banca: CETREDE
Orgão: Pref. Paramoti-CE
Provas:
Calcule o valor numérico de 2a²−3b+ab para a = −2 e b = 5 e marque a opção CORRETA.
 

Provas

Questão presente nas seguintes provas
3916692 Ano: 2025
Disciplina: Raciocínio Lógico
Banca: CETREDE
Orgão: Pref. Paramoti-CE
Provas:

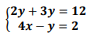
Resolvendo o sistema:

Enunciado 4760993-1

encontramos os dados da opção

 

Provas

Questão presente nas seguintes provas
3916691 Ano: 2025
Disciplina: Matemática
Banca: CETREDE
Orgão: Pref. Paramoti-CE
Provas:
Um produto custa R$ 480,00. O preço sofre dois descontos sucessivos: o primeiro de 20% e o segundo de 15%. O valor final do produto é
 

Provas

Questão presente nas seguintes provas
3916690 Ano: 2025
Disciplina: Matemática
Banca: CETREDE
Orgão: Pref. Paramoti-CE
Provas:
Simplificando a expressão: ( 3√8 ) 4 ÷ √16, encontramos o valor de
 

Provas

Questão presente nas seguintes provas