Foram encontradas 315 questões.
A metodologia mais eficiente para a determinação da capacidade de carga de uma fundação superficial é:
Provas
Questão presente nas seguintes provas
O momento de engastamento perfeito M para a estrutura mostrada ao lado vale:


Provas
Questão presente nas seguintes provas
Uma viga, com vão L e condições de contorno não identificadas, está submetida a um carregamento uniforme de valor w e apresenta a seguinte equação da linha elástica:

na qual E é o módulo de elasticidade do material que constitui a viga, I seu momento de inércia em relação ao eixo de flexão e x define o eixo longitudinal.
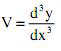
Determinar a seção (valor de x) na qual o momento fletor é máximo (V=0), sabendo-se que o esforço cortante é

na qual E é o módulo de elasticidade do material que constitui a viga, I seu momento de inércia em relação ao eixo de flexão e x define o eixo longitudinal.
Determinar a seção (valor de x) na qual o momento fletor é máximo (V=0), sabendo-se que o esforço cortante é

Provas
Questão presente nas seguintes provas
Os registros de gaveta são instalados para funcionarem
Provas
Questão presente nas seguintes provas
Seja a treliça abaixo, submetida ao carregamento indicado.

Os elementos AB e AD estão submetidos aos esforços normais, respectivamente de:

Os elementos AB e AD estão submetidos aos esforços normais, respectivamente de:
Provas
Questão presente nas seguintes provas
Em um levantamento taqueométrico, faz-se uso dos retículos taqueométricos ou estadimétricos (FS, FM, FI), que são empregados para o cálculo de:
Provas
Questão presente nas seguintes provas
Os ângulos internos numa poligonal fechada são H1= 123° 12’. H2= 57° 27’. H3= 148° 06’. H4= 87° 51’. H5= 130° 44’ e H6=
172° 45’. O erro da poligonal é:
Provas
Questão presente nas seguintes provas
Em relação ao Sol que está se pondo, qual a direção da estrada que o menino está apontando?


Provas
Questão presente nas seguintes provas
As coordenadas UTM do Hemisfério Sul, onde está quase que a totalidade do território Brasileiro, apresentam que valor para a linha do Equador, referente ao eixo das ordenadas do hemisfério sul, que decresce nesta direção?
Provas
Questão presente nas seguintes provas
Qual a forma do Planeta Terra usada no meio acadêmico? Assinale a opção correta
Provas
Questão presente nas seguintes provas
Cadernos
Caderno Container