Foram encontradas 50 questões.
Segundo a Lei Complementar n° 123/2008 do Município de Peruíbe, em áreas não sujeitas à erosão, é dispensada de autorização do Poder Executivo a execução de movimento de terra com volume de até
Provas
Segundo o Código de Obras do Município de Peruíbe, Lei Complementar n° 123/2008, nenhuma construção, reforma, ampliação ou demolição de edificação poderá ser executada no alinhamento predial sem que esteja obrigatoriamente protegida por tapumes, que deverão ter altura mínima de
Provas
Sobre o software de projeto auxiliado por computador AutoCAD, é correto afirmar que o comando
Provas
A patologia do concreto caracterizada pela formação de depósitos de sais na superfície do concreto, ocasionando manchas esbranquiçadas nas superfícies verticais e estalactites nas superfícies horizontais é denominada
Provas
Disciplina: Segurança e Saúde no Trabalho (SST)
Banca: VUNESP
Orgão: Pref. Peruíbe-SP
Segundo a Norma Regulamentadora NR-18, é obrigatório o fornecimento de água potável, filtrada e fresca para os trabalhadores, nos canteiros de obras, nas frentes de trabalho e nos alojamentos. Para um canteiro de obras com 100 trabalhadores, o número mínimo de bebedouros ou outro dispositivo equivalente é
Provas
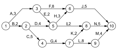
A construção de uma edificação foi planejada conforme o cronograma PERT-CPM da figura a seguir, no qual as atividades estão representadas por letras, seguidas de seu tempo de execução, em semanas.

Conforme o cronograma, o tempo previsto, em semanas, para a entrega da obra é de
Provas
Para a construção de uma residência foram gastos R$ 250.000,00 de custos diretos, R$ 46.000,00 de custos indiretos e foram recolhidos 8% de impostos. Se o lucro da construtora for de 12%, o preço de venda da residência é
Provas
No traçado geométrico de uma estrada foi prevista uma curva com raio de 600 m e superelevação de 3%. O coeficiente de atrito transversal entre o pneu e o pavimento é igual a 0,12. Considerando a aceleração da gravidade igual a 10 m/s2 , a velocidade segura para essa curva é:
Provas
Disciplina: Engenharia Ambiental e Sanitária
Banca: VUNESP
Orgão: Pref. Peruíbe-SP
No projeto de redes coletoras de esgoto sanitário funcionando em lâminas livres, a máxima declividade admissível de cada trecho é aquela para a qual a velocidade final é de
Provas
No sistema elevatório de água de um edifício residencial foram instaladas duas bombas centrífugas iguais de 5 CV de potência, ligadas em paralelo, para vencer a altura manométrica de 60 m. Se o rendimento das bombas é igual a 80%, a vazão de água do sistema de recalque é:
Provas
Caderno Container