Magna Concursos

Foram encontradas 95 questões.

3834942 Ano: 2024
Disciplina: Matemática
Banca: FACAPE
Orgão: Pref. Petrolina-PE
Para realizar passeios turísticos por algumas ilhas do rio São Francisco existem dois barcos que transportam os turistas. Um desses barcos sai do ponto de partida realizando sua viagem com destino às ilhas a cada 2 horas. O outro, a cada 3 horas. Suponha que em um domingo ensolarado, as duas embarcações realizaram sua primeira viagem, partindo juntas, às 8 horas da manhã. Que horas essas duas embarcações partirão juntas novamente para levar os turistas às ilhas?
 

Provas

Questão presente nas seguintes provas
3834941 Ano: 2024
Disciplina: Matemática
Banca: FACAPE
Orgão: Pref. Petrolina-PE
Sabe–se que uma equação do 2º grau x2 + x – 20 = 0, possui duas raízes reais e distintas. A maior dessas raízes é igual a:
 

Provas

Questão presente nas seguintes provas
3834940 Ano: 2024
Disciplina: Matemática Financeira
Banca: FACAPE
Orgão: Pref. Petrolina-PE
Maria destina todos os meses a quantia de R$ 2.500,00 para dois tipos de despesas fixas, da seguinte forma: a metade para pagamento do aluguel e a outra metade ela faz questão de colocar em uma caderneta de poupança. Em determinado mês, o valor do aluguel passou a ser R$ 1.500,00. Assim, para não mudar o seu orçamento, Maria depositou apenas o restante do valor, ou seja, R$ 1.000,00 na caderneta de poupança. Dessa forma, o valor depositado por Maria na caderneta de poupança, sofreu uma redução de:
 

Provas

Questão presente nas seguintes provas
3834939 Ano: 2024
Disciplina: Matemática
Banca: FACAPE
Orgão: Pref. Petrolina-PE
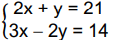
No sistema de equações a seguir, “x” e “y” são a soluções: Enunciado 4754458-1

Assim, o valor de x + y será igual a:
 

Provas

Questão presente nas seguintes provas
3834938 Ano: 2024
Disciplina: Matemática
Banca: FACAPE
Orgão: Pref. Petrolina-PE
Três competidores de jogos eletrônicos estão disputando uma das fases do jogo. Os jogadores “A”, “B” e “C” permaneceram jogando durante 5, 7 e 8 minutos, respectivamente. O número total de pontos marcados pelos jogadores foi diretamente proporcional ao tempo que cada um permaneceu realizando a sua jogada. Ao final, constataram que o jogador “C”, sozinho, havia somado 12.000 pontos. Portanto, o total de pontos marcados pelos três competidores foi igual a:
 

Provas

Questão presente nas seguintes provas
3834937 Ano: 2024
Disciplina: Português
Banca: FACAPE
Orgão: Pref. Petrolina-PE
“Pensei vagamente em estudar arquitetura, como todo mundo. Acabaria como todos que eu conheço que estudaram arquitetura, fazendo outra coisa. Poupei-me daquela outra coisa, mesmo que não tenha me formado em nada e acabado fazendo esta estranha outra coisa, que é dar palpites sobre todas as coisas.” 
Luís Fernando Veríssimo

No trecho “...mesmo que não tenha me formado em nada...”, do texto acima, conectivo destacado inicia uma oração com valor semântico de:
 

Provas

Questão presente nas seguintes provas
3834936 Ano: 2024
Disciplina: Português
Banca: FACAPE
Orgão: Pref. Petrolina-PE
Enunciado 4754455-1
https://manualdaseguranca.com.br

Na campanha acima, a expressão “DE TODOS”:
 

Provas

Questão presente nas seguintes provas
3834935 Ano: 2024
Disciplina: Português
Banca: FACAPE
Orgão: Pref. Petrolina-PE
“Torço para que esse país um dia abra o olho e veja a importância da arte e da cultura na vida do ser humano. E valorize isso, como uma área extremamente importante na reconstrução desse mundo que está quase perdido. É preciso fazer as coisas funcionarem de maneira correta. Analisando a situação de baixo para cima e de cima para baixo, não só incentivando o artista, mas criando mecanismo para que a arte seja vista nesse país com outros olhos. Trabalhando inclusive, a prática de leitura que é um problema sério no Brasil.”
Leandro Flores

Com base nas regras se acentuação gráfica, analise os itens abaixo.

I. A palavra “país” é acentuada porque há formação de um hiato em que a segunda vogal é o “i”.
II. A palavra “mecanismo” deveria estar acentuada.
III. A palavra “prática” é acentuada por ser proparoxítona.
IV. Está CORRETO apenas o que se afirma em:
 

Provas

Questão presente nas seguintes provas
3834934 Ano: 2024
Disciplina: Português
Banca: FACAPE
Orgão: Pref. Petrolina-PE
Ninguém pode realmente estudar o futuro ou saber qualquer coisa sobre ele. O que os futuristas procuram é estudar imagens do futuro. Fazem inventários de possibilidades, baseados nas especulações bem-informadas (ou mal-informadas) de cérebros do passado e do presente, incluindo os seus próprios...”.
Fredric Litto

Os trechos sublinhados, no texto acima, indicam que a voz do verbo é respectivamente:
 

Provas

Questão presente nas seguintes provas
3834933 Ano: 2024
Disciplina: Português
Banca: FACAPE
Orgão: Pref. Petrolina-PE
Enunciado 4754452-1
https://www.ivancabral.com

No diálogo entre pai e filho a expressão, entre aspas, provoca um efeito de humor cujo tema é:
 

Provas

Questão presente nas seguintes provas