Foram encontradas 969 questões.
As coleções biológicas são valiosos instrumentos para registro, documentação e consulta para diversos fins. São, muitas vezes, ponto de partida de trabalhos para biólogos, ecólogos, geógrafos e demais profissionais.
Sobre coleções biológicas, analise as afirmativas abaixo:
I. São um conjunto de seres fósseis, catalogados com o intuito de estudo científico, sendo exemplares completos, devidamente preservados e catalogados contendo informações detalhadas sobre cada um dos seres. Essas coleções podem ser usadas por botânicos ou zoólogos, com finalidade de realizar análise ou pesquisas didáticas e científicas.
II. Por se tratar de um conjunto de espécies e dados gerados ao longo do tempo, torna-se um mapa histórico geográfico, detalhado de espécies antigas e atuais que viveram/vivem em tal região, que podem ser usadas como espécie-testemunho para registrar a existência de determinada espécie, possibilitando o estudo de sua linhagem evolutiva.
III. Na área de vigilância epidemiológica, através da correlação de informações de coleções de bactérias, fungos, protozoários e helmintos, agentes etiológicos de doenças e metadados de coleções zoológicas, correspondentes a seus vetores, reservatórios, ou hospedeiros, fornecem dados para a estruturação de políticas públicas em saúde, bem como para monitoramento e controle da dispersão desses males em território nacional.
IV. Sua importância para o conhecimento da biodiversidade se dá não apenas pelo fato de o acervo representar um registro material e documental da fauna, flora e microorganismos, mas pelo fato de a preservação ex situ de espécimes, manutenção das espécies fora de seu habitat natural, constituir uma fonte de conhecimento, disponível muito tempo após a coleta de material, através do avanço da tecnologia, que permite extrair informações, que não eram acessíveis através das metodologias do passado.
Está CORRETO o que se afirma em
Provas
Leia o texto abaixo:
Apesar da ampla apreciação das uvas de mesa sem sementes, pouco se sabia sobre os mecanismos celulares e genéticos responsáveis pelo desenvolvimento delas. Brasileiros identificaram o papel do gene VviAGL11 no desenvolvimento de sementes de Vitis vinifera.
A presença de um marcador microssatélite posicionado em cima do gene ajudou na sua descoberta. O gene foi estudado em cultivares com semente (pirênicas) e sem semente (apirênicas), utilizando sequenciamento alelo-específico, hibridização in situ, análise de expressão por RT-qPCR e complementação de fenótipo na planta modelo Arabidopsisthaliana.
A técnica de transformação genética “Floral Dip” mediada por Agrobacterium tumefaciens, foi empregada para a geração de plantas transgênicas de A. thaliana com expressão ectópica de VviAGL11. A expressão ectópica de VviAGL11 é capaz de controlar a morfogênese de sementes em A. thaliana na ausência de expressão de AtAGL11, demonstrando que esses dois genes muito semelhantes têm a mesma função in planta, sendo verdadeiros ortólogos.
O próximo desafio é avaliar a utilização desse gene em videiras adultas. A intenção é modificar o tamanho das sementes, tornando-as menores, por exemplo, por meio do silenciamento do gene VviAGL11.
Fontes: https://www.embrapa.br/busca-de-noticias/-/noticia/24889246/brasileiros-identificam-gene-que-possibilita-a-ausencia-de-sementes-na-uva https://www.lume.ufrgs.br/handle/10183/180570 (Adaptados)
Sobre o assunto abordado no texto, analise as afirmativas abaixo:
I. Os marcadores microssatélites são muito utilizados para estudar genomas de plantas e ainda têm aplicações em estudos de mapeamento, diversidade genética, estrutura genética, impressão digital de indivíduos e estudos de parentesco.
II. A introdução de genes exógenos, utilizando Agrobacterium, é essencial para os estudos de transferência de genes por meio de engenharia genética, podendo ser utilizado em plantas-modelo para a comprovação funcional de genes candidatos bem como em plantas de interesse agronômico.
III. A primeira etapa em comparar os genomas sequenciados é a identificação dos genes mais proximamente relacionados, chamados de homólogos. Alguns homólogos estão no mesmo locus genético, herdado de um ancestral comum. Esses genes são chamados de ortólogos.
IV. O silenciamento de VviAGL11 em cultivares apirênicos deve provocar uma diminuição visível e drástica do peso seco total das sementes, com número reduzido de sementes e aumento concomitante no número de traços de sementes.
V. A superexpressão de VviAGL11 em cultivar pirênico deve resultar na formação de minisementes/sementes que não estavam presentes nos cachos não tratados.
Estão CORRETAS
Provas
Os resultados de uma reação em cadeia da polimerase (PCR) são geralmente visualizados por meio do uso da Eletroforese em gel, a exemplo da genotipagem para Rh vista a seguir:
Devido à alta homologia existente entre os genes RHD e RHCE, a estratégia utilizada na genotipagem RHD levou em consideração as diferenças existentes entre eles em duas regiões genômicas: íntron 4 e éxon 10. No íntron 4, o gene RHCE possui 600 pb a mais que o gene RHD, enquanto na região 3', não traduzida do éxon 10, o gene RHD possui 47 pb a mais que o gene RHCE. Assim, foram utilizados primers, que permitem determinar a presença do gene RHD por meio da análise direta do produto de PCR, após eletroforese em gel de agarose a 1,5% (Figura 1).

Sobre isso, é CORRETO afirmar que
Provas
Observe a charge abaixo:

Fonte: https://www.facebook.com/BodeGaiato/photos/isso-a%C3%AD-dona-zefinha/1493351097394811/
O que a mãe de Junin (Bode gaiato) desconhece em relação ao milho do Brasil é que grande parte deste é transgênico. Assim, durante uma conversa, três amigos biólogos falaram veracidades sobre o assunto.
José - transgênicos são aqueles que possuem, em seu genoma, um ou mais genes provenientes de outra espécie ou da mesma, desde que tenham sido modificados e/ou inseridos por meio de técnicas da engenharia genética.
Maria - o milho Bt é aquele no qual foram introduzidos genes específicos da bactéria de solo, Bacillus thuringiensis (Bt), que promovem na planta a produção de uma proteína tóxica específica (Cry) relacionada com a atividade das toxinas entre os receptores no intestino médio em condições de pH alcalino, acima de 8, para ser ativada, em determinados grupos de insetos da ordem lepidóptera.
Luzia - a interação toxina-receptor leva à formação de poros na membrana celular, o que altera o balanço osmótico das células epiteliais intestinais, que incham e sofrem rupturas, levando o inseto à morte, por dificuldade de alimentação e infecção generalizada (septicemia).
Fonte: http://www.cnpms.embrapa.br/mipmilho/https://arquivos.infra-questoes.grancursosonline.com.br/arquivos/500PRMT.pdf (Texto modificado)
Assinale a alternativa que traz as informações CORRETAS sobre o assunto abordado.
Provas
Observe a tirinha a seguir:

Fonte: www.google-imagens.com (Adaptado)
A moça não entende muito de Biologia, mas o tatuador gosta e compreende a importância do Dogma Central e dos sentidos 5’-3’ e 3’-5’.
Assim, analise as afirmativas abaixo:
I. Uma ligação fosofodiéster conecta o átomo de carbono 5’ de uma desoxirribose ao átomo de carbono 3’ da desoxirribose adjacente, formando uma polaridade ou sentido 5’- 3’essencial na compreensão de como o DNA atua no metabolismo.
II. A replicação do DNA, seja em procariotos ou eucariotos, utiliza um mecanismo semiconservativo e o sentido da síntese de filamentos, seja na replicação contínua ou na descontínua, é sempre no sentido 5’-3’.
III. Durante a transcrição, o crescimento do RNA é sempre no sentido 5’-3’. Assim, os nucleotídeos são sempre adicionados na ponta crescente 3’, significando que o DNA dito molde terá orientação 3’-5’.
IV. Uma diferença na transcrição entre procariotos e eucariotos é que nos primeiros, por falta de espaço, genes podem ser lidos em ambas as fitas de DNA. Existe uma síntese de RNA promovida pela transcritase reversa que copia a fita não molde no sentido 3’-5’.
V. A tradução é feita pelos ribossomos, que se move ao longo do mRNA, no sentido 3’-5’. Um conjunto de tRNA leva os aminoácidos para o ribossomo, e seus códons se ligam aos anticódons do mRNA expostos no ribossomo, formando as proteínas.
Estão CORRETAS
Provas
Observe as afirmativas a seguir sobre duas técnicas utilizadas na biologia molecular:
I. A DNA polimerase é a normalmente utilizada na replicação celular, e o gene pode ter tamanhos maiores e ser desconhecido.
II. A reação de duplicação do DNA é repetida ciclicamente, através de uma série de alterações de temperatura, o que possibilita a produção de muitas cópias da região de interesse em pouco tempo.
III. Depende de DNA polimerase termoestável, a Taq polimerase, e requer primers de DNA projetados especificamente para a região de um gene curto e conhecido.
IV. Os ingredientes são reunidos em um tubo, juntamente com cofatores de que a enzima precisa, e passam por repetidos ciclos de aquecimento e resfriamento que permitem que o DNA seja sintetizado.
V. Técnica da biologia molecular que consiste em fazer várias cópias idênticas de um pedaço de DNA, tal como um gene, in vivo.
VI. Técnica que consiste em fazer muitas cópias de uma região específica do DNA, in vitro.
Assinale a alternativa que faz a CORRETA correlação entre os dois respectivos tipos de técnica e suas afirmativas correspondentes.
Provas
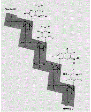
Observe a imagem abaixo:

Fonte: www.google-imagens.com (Adaptado)
Sobre a estrutura do DNA, é CORRETO afirmar que
Provas
A técnica histológica de rotina consiste em uma série de etapas com o objetivo de preparar determinado tecido para ser analisado microscopicamente, seja por interesse de pesquisa científica ou de diagnóstico patológico. Sobre isso, assinale a alternativa CORRETA.
Provas
A citometria de fluxo é uma importante ferramenta direcionada ao estudo de células, trazendo relevantes contribuições em pesquisas científicas bem como fornecendo apoio para o diagnóstico e prognóstico de enfermidades. Sobre essa técnica, assinale a alternativa CORRETA.
Provas
No início do século XX, pesquisadores removeram algumas células de espinha dorsal de uma cobaia e as colocaram numa câmara de vidro, úmida e mantida a 37 graus com plasma sanguíneo, observando-as de tempos em tempos, ao microscópio. As células sobreviveram e se diferenciaram, assumindo o aspecto estrelado dos neurônios. Esse experimento foi o início da técnica de cultura de células.
Sobre isso, a assinale alternativa CORRETA.
Provas
Caderno Container