Foram encontradas 224 questões.
- SUSLei 8.080/1990: Lei Orgânica da SaúdeSistema Único de SaúdePrincípios, Objetivos, Diretrizes e Atribuições.
- Planejamento e Gestão
O controle social na saúde é exercido pela população por
meio da participação voluntária
Provas
Questão presente nas seguintes provas
Uma das principais atividades do ACS, que possibilita conhecer o contexto social e identificar as necessidades de
saúde das famílias assistidas pela equipe de Estratégia
de Saúde da Família (ESF), permitindo conhecer os determinantes do processo saúde-doença, ocorrem durante
Provas
Questão presente nas seguintes provas
No cadastramento, o ACS coloca no papel todas as informações a respeito da comunidade, e, para isso, preenche fichas que irão ajudá-lo a priorizar suas ações. Assim
sendo, em uma comunidade onde predominam crianças
menores de 5 anos, o ACS deve
Provas
Questão presente nas seguintes provas
A territorialização possibilita conhecer os aspectos ambientais, sociais, demográficos, econômicos e os principais problemas referentes à saúde da população da área,
possibilitando desenvolver
Provas
Questão presente nas seguintes provas
- SUSLei 8.080/1990: Lei Orgânica da SaúdeSistema Único de SaúdePrincípios, Objetivos, Diretrizes e Atribuições.
- Planejamento e Gestão
O SUS busca uma assistência de qualidade e, por meio
do acolhimento, aproximar o usuário dos profissionais de
saúde. Por isso, é importante que o profissional da saúde
entenda que o acolhimento
Provas
Questão presente nas seguintes provas
O Brasil tem passado por uma transição epidemiológica apresentando redução da taxa de mortalidade infantil e de crianças menores de 5 anos, além do aumento do coeficiente de longevidade. Essas questões apontam para uma transformação na pirâmide etária da população.
Os dados apresentados referem-se a:
Provas
Questão presente nas seguintes provas
O Estatuto do Idoso afirma que é assegurada a atenção
integral à saúde do idoso, por intermédio do Sistema Único de Saúde – SUS. A prevenção e a manutenção da
saúde do idoso serão efetivadas por meio de
Provas
Questão presente nas seguintes provas
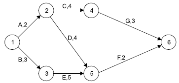
Para a construção de uma obra, utilizou-se o cronograma da figura, em que as atividades estão representadas por letras, seguidas de suas durações, em dias.

A duração dessa obra, em dias, é

A duração dessa obra, em dias, é
Provas
Questão presente nas seguintes provas
- Gerenciamento, Planejamento e Controle de Obras
- Orçamento no Planejamento e Controle de Obras na Engenharia Civil
Para a execução de 60 m de calha em chapa galvanizada no 26, o orçamentista de uma construtora utilizou a composição de custos unitários da tabela seguinte:

Considerando que sobre o custo da mão de obra devem ser recolhidos 125% de encargos sociais e que o BDI da construtora é 25%, o preço desse serviço, em reais, é

Considerando que sobre o custo da mão de obra devem ser recolhidos 125% de encargos sociais e que o BDI da construtora é 25%, o preço desse serviço, em reais, é
Provas
Questão presente nas seguintes provas
O projeto de terraplenagem para a locação do eixo longitudinal de uma estrada foi desenvolvido com base no nivelamento do perfil da tabela a seguir.

A cota da estaca 5 é

A cota da estaca 5 é
Provas
Questão presente nas seguintes provas
Cadernos
Caderno Container