Foram encontradas 60 questões.
Nas unidades residenciais e nas acomodações de hotéis, motéis e similares, de acordo com a NBR 5410/97, que define as condições desejáveis de instalações elétricas de baixa tensão, deve ser atribuída às tomadas de uso geral de banheiros, cozinhas, copas, copa-cozinhas, áreas de serviço, lavanderias e locais análogos, a seguinte previsão de carga:
Provas
Em instalações prediais de água fria, a prevenção e a atenuação do golpe de aríete podem ser obtidas com o seguinte procedimento:
Provas
O índice de esbeltez de uma coluna de comprimento l e seção transversal quadrada de lado a , tendo uma extremidade livre e a outra engastada, é igual a:

Provas
O grau hiperestático da estrutura abaixo vale:

Provas
No escoamento livre, em canais, existe um valor mínimo de energia específica, que corresponde a uma certa profundidade denominada de profundidade crítica. A profundidade crítica, para um canal de seção retangular de base igual a 20 m, que apresenta vazão constante de 40 m3/s, com velocidade média igual a 2 m/s, é igual a 0,74 m. O regime de escoamento neste canal é o:
Provas
Uma instalação predial de água fria deve ser projetada e executada de modo que não haja possibilidade de a água potável deixar de atender ao padrão de potabilidade, devido a uma contaminação. Um dos cuidados que devem ser observados é o de evitar o refluxo de água usada ou servida, para a fonte de abastecimento ou para a própria instalação predial de água fria. Um exemplo efetivo de dispositivo (ou disposição construtiva) de prevenção ao refluxo de água em instalações prediais de água fria é a:
Provas
Considerando-se esforços de tração como positivos (+) e de compressão como negativos (-), os valores dos esforços normais nas barras CE, CF e DF da treliça abaixo são, em kgf, respectivamente iguais a:

Provas
Observe o carregamento abaixo e responda à questão de número 43.

A máxima tensão de compressão atuante na viga de seção transversal retangular (12 cm x 20 cm), submetida ao carregamento, em kgf/cm2 , é igual a:
Provas

Provas
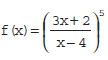
A derivada da função
é igual a:
Provas
Caderno Container