Foram encontradas 180 questões.
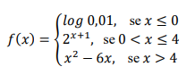
A função f (x) está estabelecida dentro das condições a seguir:

Com base nas condições da função f (x) , temos que:
I. f (2) + 3 f (−1) = 2 ( )
II. f (−3) + f (0) − f (5) = 1 ( )
III. f (−2) ∙ f (1) ∙ f (6) = 0 ( )
Classificando as sentenças acima em verdadeiro ou falso, temos a seguinte sequência:
Provas
Provas
As sentenças a seguir, apresentam os conceitos matemáticos relativos ao estudo de Probabilidades.
I. P(A ∩ B) = P(A) ∙ P(B) para eventos independentes
II. P(A ∪ B) = P(A) + P(B) − P(A ∩ B) para união de eventos
III. P(A ∩ B) ≠ 0 para eventos mutuamente excludentes
IV. A probabilidade de um evento é igual ao número total de resultados divididos pelo número de resultados favoráveis.
É correto afirmar que são verdadeiras as sentenças:
Provas

De acordo com os dados da tabela, pode-se afirmar que a média diária de atendimentos e a moda são, respectivamente:
Provas
Provas
Provas
Considerando as sentenças a seguir:
I. (a + b) 3 − (a − b) 3 = 6a2b + 2b 3
II. (a + b) 2 + (a + b) ∙ (a − b) = 2a 2 + 2ab − b 2
III. 2 ∙ (p + k) 2 − (p − k) 2 = 3p 2 − 2pk − 3k 2
IV. (x + 2) 3 + (x − 2) 3 = 2x 3 + 24x
Provas
Provas
Em uma usina de etanol, uma máquina colhedora de cana, alcança uma produtividade de 150 toneladas em um mês, com uma jornada de trabalho diária de 6 horas. No entanto, com o aumento da demanda por etanol em certas épocas do ano e de uma nova campanha de marketing, o número de encomendas por etanol cresceu de forma acentuada, aumentando a demanda para 200 toneladas. Buscando atender essa nova demanda, a empresa adquiriu mais duas máquinas colhedoras e ajustou para 8 horas por dia o tempo de atividade das máquinas. Qual deve ser a quantidade de dias para que a empresa consiga atender a nova demanda?
Provas
Considere as sentenças a seguir.
I. A expressão an = a1 + (n + 1) ∙ r, ∀ n ∈ N, representa o termo geral de uma Progressão Aritmética (PA).
II. A sequência (5, 10, 15, 28, 33,38) é uma progressão aritmética de razão 5.
III. A expressão an = a1. q n−1 ,∀ n ∈ N ∗ , representa o termo geral de uma Progressão Geométrica (PG).
Assinale a alternativa correta:
Provas
Caderno Container