Foram encontradas 180 questões.
Provas
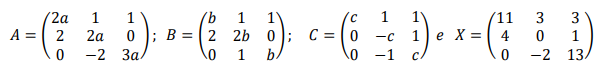
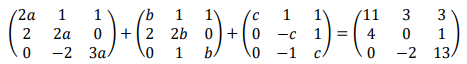
Considere as matrizes a seguir

Representando a equação matricial A + B + C = X abaixo

Os valores de a, b e c que satisfazem a equação proposta devem ser:
Provas
Pedro Augusto está muito interessado na compra de uma parte de um terreno vizinho ao seu. O valor do metro quadrado do terreno desejado por ele é de R$ 1.500,00. O terreno ofertado tem um formato retangular, comprimento de 8 metros e sabe-se que o ângulo da base formado entre a base e a diagonal é de 30 graus. Para adquirir esse pedaço de terreno, Pedro Augusto precisará de: Considere: sen 30 º = 0,50; cos 30º = 0,87 e tg 30º = 0,58
Provas
Otávio Rodrigues, produtor de grãos, tem em sua fazenda um tanque de combustível para abastecer o maquinário utilizado na lavoura. Esse tanque tem formato cilíndrico com diâmetro base e altura medindo respectivamente 2,4 metros e 5 metros. Se no momento o tanque está com combustível ocupando apenas 25% de sua capacidade, podemos afirmar que há no tanque:
Considere: π = 3,14 e 1m3 = 1.000 l
Provas
https://ge.globo.com/motor/formula-1/noticia/gp-da-italia-lewis-hamilton-e-pole-com-a-volta-mais-rapida-de-todos-ostempos-na-formula-1.ghtml
Com base nas informações acima, se são necessários 1m 18s e 887ms para completar uma volta, é correto afirmar que o tempo total necessário para completar 30 voltas é de: Considere: 1ms = 0,001s
Provas
Provas
No terreiro rústico da Fazenda Paraíso, nos anos da minha adolescência, era certa e esperada aquela comunicação anual. [...] Vinha dos campos e da mangueira um cheiro fecundo de vegetais e de apojo, mugidos intercalados da vacada, que à tarde mansamente descia dos pastos, procurando a frente da fazenda. O terreiro rústico participava desses encantamentos. Naquela comunhão sagrada e rotineira, a gente se sentia feliz e nem se lembrava de que não havia nenhum dinheiro na casa. Pela manhã, muito cedo, meu avô ia verificar o moinho de fubá de milho, o rendimento da noite. O velho e pesado monjolo subia e descia compassado, escachoando água do cocho, cavado no madeirame pesado e bruto. [...] E partia das mangueiras e abacateiros frondosos o arrulho gemido da juriti. Às sete horas, vinha para cima da grande mesa familiar, rodeada de bancos pesados e rudes, a grande panela de mucilagem, mingau de fubá canjica, fino e adocicado, cozido no leite ainda morno do curral. [...] Comia-se com vontade e comida tão boa como aquela nunca houve em parte alguma. O arroz, fumaçando numa travessa imensa de louça antiga, rescendia a pimenta de cheiro. O frango ensopado em molho de açafrão e cebolinha verde, e mais coentro e salsa. O feijão saboroso, a couve com torresmos, enfarinhada ou rasgadinha à mineira, mandioca adocicada e farinha, ainda quentinha da torrada. Comia-se à moda velha. Repetia-se o bocado, rapava-se o prato. Depois, o quintal, os engenhos, o goiabal, os cajueiros, o rego-d’água. Tínhamos ali o nosso Universo. Vivia-se na Paz de Deus. Eram essas coisas na Fazenda Paraíso. E como todo paraíso, só valeu depois de perdido.
CORALINA, Cora. Melhores Poemas: Cora Coralina; seleção Darcy França Denófrio. São Paulo: Global, 2017.
Nesse poema de Cora Coralina, nota-se que o leitor é naturalmente levado a deleitar-se no universo poético idílico, cujos versos representam a ativação da memória, utilizando formas imagéticas e linguísticas que evidenciam lembranças carregadas de afetividade, simplicidade e nostalgia. Assim, a figura de linguagem empregada como recurso expressivo, na construção estético-literária do poema, é:
Provas
Provas
Provas
Chega um dia de falta de assunto. Ou, mais propriamente, de falta de apetite para os milhares de assuntos. Escrever é triste. Impede a conjugação de tantos outros verbos. Os dedos sobre o teclado, as letras se reunindo com maior ou menor velocidade, mas com igual indiferença pelo que vão dizendo, enquanto lá fora a vida estoura não só em bombas como também em dádivas de toda natureza, inclusive a simples claridade da hora, vedada a você, que está de olho na maquininha. O mundo deixa de ser realidade quente para se reduzir a marginália, purê de palavras, reflexos no espelho (infiel) do dicionário. O que você perde em viver, escrevinhando sobre a vida. Não apenas o sol, mas tudo que ele ilumina. [...] E então vem o tédio. De Senhor dos Assuntos, passar a espectador enfastiado de espetáculo. Tantos fatos simultâneos e entrechocantes, o absurdo promovido a regra de jogo, excesso de vibração, dificuldade em abranger a cena com o simples par de olhos e uma fatigada atenção. Tudo se repete na linha do imprevisto, pois ao imprevisto sucede outro, num mecanismo de monotonia explosiva. Na hora ingrata de escrever, como optar entre as variedades de insólito? E que dizer, que não seja invalidado pelo acontecimento de logo mais, ou de agora mesmo? [...] Entretanto, aí está você, casmurro e indisposto para a tarefa de encher o papel de sinaizinhos pretos. [...]
Disponível em: <https://www.blogderocha.com.br/hoje-nao-escrevo-carlos-drummond-de-andrade/>. Acesso em: 25 mar. 2023.
Carlos Drummond de Andrade, nome indispensável para a história da Literatura Brasileira, é autor do texto “Hoje não escrevo”, que se configura como sendo:
Provas
Caderno Container