Magna Concursos

Foram encontradas 65 questões.

Qual a forma trigonométrica do número complexo z = √3 + i?
 

Provas

Questão presente nas seguintes provas
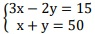
O conjunto solução do sistema de equações Enunciado 2958276-1 é formado por dois números naturais tal que o maior desses números supera o menor desses número em
 

Provas

Questão presente nas seguintes provas
Uma editora empacotou um total de 108 livros, sendo 84 livros de Clarice Lispector e os demais de Maria Firmina dos Reis. Os pacotes obtidos eram de tal modo que o número de livros, de cada autora, em cada pacote era igual em todos os pacotes. Considerando a situação descrita, assinale a alternativa correta.
 

Provas

Questão presente nas seguintes provas
Seja Enunciado 2958274-1a matriz de ordem 2. Para quais valores de x, M não admite inversa?
 

Provas

Questão presente nas seguintes provas
Texto 1
Vidas Secas
Graciliano Ramos
Capítulo III – Cadeia (fragmento)
Fabiano tinha ido à feira da cidade comprar mantimentos. Precisava sal, farinha, feijão e rapaduras. Sinhá Vitória pedira além disso uma garrafa de querosene e um corte de chita vermelha. Mas o querosene de seu Inácio estava misturado com água, e a chita da amostra era cara demais.
Fabiano percorreu as lojas, escolhendo o pano regateando um tostão em côvado, receoso de ser enganado. Andava irresoluto, uma longa desconfiança dava-lhe gestos oblíquos. A tarde puxou o dinheiro, meio tentado, e logo se arrependeu, certo de que todos os caixeiros furtavam no preço e na medida: amarrou as notas na ponta do lenço, meteu-as na algibeira, dirigiu-se à bodega de seu Inácio, onde guardara os picuás.
Aí certificou-se novamente de que o querosene estava batizado e decidiu beber uma pinga, pois sentia calor. Seu Inácio trouxe a garrafa de aguardente. Fabiano virou o copo de um trago, cuspiu, limpou os beiços à manga, contraiu o rosto. Ia jurar que a cachaça tinha água. Por que seria que seu Inácio botava água em tudo? perguntou mentalmente. Animou-se e interrogou o bodegueiro: - Por que é que vossemecê bota água em tudo?
Seu Inácio fingiu não ouvir. E Fabiano foi sentar-se na calçada, resolvido a conversar. O vocabulário dele era pequeno, mas em horas de comunicabilidade enriquecia-se com algumas expressões de seu Tomás da bolandeira. Pobre de seu Tomás. Um homem tão direito sumir-se como cambembe, andar por este mundo de trouxa nas costas. Seu Tomás era pessoa de consideração e votava. Quem diria?
Nesse ponto um soldado amarelo aproximou-se e bateu familiarmente no ombro de Fabiano: - Como é, camarada? Vamos jogar um trinta-e-um lá dentro? Fabiano atentou na farda com respeito e gaguejou, procurando as palavras de seu Tomás da bolandeira: - Isto é. Vamos e não vamos. Quer dizer Enfim, contanto, etc. É conforme.
Levantou-se e caminhou atrás do amarelo, que era autoridade e mandava. Fabiano sempre havia obedecido. Tinha muque e substância, mas pensava pouco, desejava pouco e obedecia. Atravessaram a bodega, a corredor, desembocaram numa sala onde vários tipos jogavam cartas em cima de uma esteira.
(...)
Fabiano, as orelhas ardendo, não se virou. Foi pedir a seu Inácio os troços que ele havia guardado, vestiu o gibão, passou as correias dos alforjes no ombro, ganhou a rua.
Debaixo do jatobá do quadro taramelou com Sinhá Rita louceira, sem se atrever a voltar para casa. Que desculpa iria apresentar a Sinhá Vitória? Forjava uma explicação difícil. Perdera o embrulho da fazenda, pagara na botica uma garrafada para Sinhá Rita louceira. Atrapalhava-se tinha imaginação fraca e não sabia mentir. Nas invenções com que pretendia justificar-se a figura de Sinhá Rita aparecia sempre, e isto o desgostava. Arruinaria uma história sem ela, diria que haviam furtado o cobre da chita. Pois não era? Os parceiros o tinham pelado no trinta-e-um. Mas não devia mencionar o jogo. Contaria simplesmente que o lenço das notas ficara no bolso do gibão e levara sumiço. Falaria assim: - "Comprei os mantimentos. Botei o gibão e os alforjes na bodega de seu Inácio. Encontrei um soldado amarelo" Não, não encontrara ninguém. Atrapalhava-se de novo. Sentia desejo de referir-se ao soldado, um conhecido velho, amigo de infância. A mulher se incharia com a notícia. Talvez não se inchasse. Era atilada, notaria a pabulagem. Pois estava acabado. O dinheiro fugira do bolso do gibão, na venda de seu Inácio. Natural.
(...)
Afinal para que serviam os soldados amarelos? Deu um pontapé na parede, gritou enfurecido. Para que serviam os soldados amarelos? Os outros presos remexeram-se, o carcereiro chegou à grade, e Fabiano acalmou-se: - Bem, bem. Não há nada não.
(...)
Fabiano gritou, assustando o bêbedo, os tipos que abanavam o fogo, o carcereiro e a mulher que se queixava das pulgas. Tinha aqueles cambões pendurados ao pescoço. Deveria continuar a arrastálos? Sinhá Vitória dormia mal na cama de varas. Os meninos eram uns brutos, como o pai. Quando crescessem, guardariam as reses de um patrão invisível, seriam pisados, maltratados, machucados por um soldado amarelo.
- Arreda!
Ramos, G. Vidas Secas. Record. 199ª ed. Edição original de 1938.
Assinale a única alternativa em que todas as palavras foram grafadas de acordo com as normas gramaticais da Língua Portuguesa.
 

Provas

Questão presente nas seguintes provas
Texto 1
Vidas Secas
Graciliano Ramos
Capítulo III – Cadeia (fragmento)
Fabiano tinha ido à feira da cidade comprar mantimentos. Precisava sal, farinha, feijão e rapaduras. Sinhá Vitória pedira além disso uma garrafa de querosene e um corte de chita vermelha. Mas o querosene de seu Inácio estava misturado com água, e a chita da amostra era cara demais.
Fabiano percorreu as lojas, escolhendo o pano regateando um tostão em côvado, receoso de ser enganado. Andava irresoluto, uma longa desconfiança dava-lhe gestos oblíquos. A tarde puxou o dinheiro, meio tentado, e logo se arrependeu, certo de que todos os caixeiros furtavam no preço e na medida: amarrou as notas na ponta do lenço, meteu-as na algibeira, dirigiu-se à bodega de seu Inácio, onde guardara os picuás.
Aí certificou-se novamente de que o querosene estava batizado e decidiu beber uma pinga, pois sentia calor. Seu Inácio trouxe a garrafa de aguardente. Fabiano virou o copo de um trago, cuspiu, limpou os beiços à manga, contraiu o rosto. Ia jurar que a cachaça tinha água. Por que seria que seu Inácio botava água em tudo? perguntou mentalmente. Animou-se e interrogou o bodegueiro: - Por que é que vossemecê bota água em tudo?
Seu Inácio fingiu não ouvir. E Fabiano foi sentar-se na calçada, resolvido a conversar. O vocabulário dele era pequeno, mas em horas de comunicabilidade enriquecia-se com algumas expressões de seu Tomás da bolandeira. Pobre de seu Tomás. Um homem tão direito sumir-se como cambembe, andar por este mundo de trouxa nas costas. Seu Tomás era pessoa de consideração e votava. Quem diria?
Nesse ponto um soldado amarelo aproximou-se e bateu familiarmente no ombro de Fabiano: - Como é, camarada? Vamos jogar um trinta-e-um lá dentro? Fabiano atentou na farda com respeito e gaguejou, procurando as palavras de seu Tomás da bolandeira: - Isto é. Vamos e não vamos. Quer dizer Enfim, contanto, etc. É conforme.
Levantou-se e caminhou atrás do amarelo, que era autoridade e mandava. Fabiano sempre havia obedecido. Tinha muque e substância, mas pensava pouco, desejava pouco e obedecia. Atravessaram a bodega, a corredor, desembocaram numa sala onde vários tipos jogavam cartas em cima de uma esteira.
(...)
Fabiano, as orelhas ardendo, não se virou. Foi pedir a seu Inácio os troços que ele havia guardado, vestiu o gibão, passou as correias dos alforjes no ombro, ganhou a rua.
Debaixo do jatobá do quadro taramelou com Sinhá Rita louceira, sem se atrever a voltar para casa. Que desculpa iria apresentar a Sinhá Vitória? Forjava uma explicação difícil. Perdera o embrulho da fazenda, pagara na botica uma garrafada para Sinhá Rita louceira. Atrapalhava-se tinha imaginação fraca e não sabia mentir. Nas invenções com que pretendia justificar-se a figura de Sinhá Rita aparecia sempre, e isto o desgostava. Arruinaria uma história sem ela, diria que haviam furtado o cobre da chita. Pois não era? Os parceiros o tinham pelado no trinta-e-um. Mas não devia mencionar o jogo. Contaria simplesmente que o lenço das notas ficara no bolso do gibão e levara sumiço. Falaria assim: - "Comprei os mantimentos. Botei o gibão e os alforjes na bodega de seu Inácio. Encontrei um soldado amarelo" Não, não encontrara ninguém. Atrapalhava-se de novo. Sentia desejo de referir-se ao soldado, um conhecido velho, amigo de infância. A mulher se incharia com a notícia. Talvez não se inchasse. Era atilada, notaria a pabulagem. Pois estava acabado. O dinheiro fugira do bolso do gibão, na venda de seu Inácio. Natural.
(...)
Afinal para que serviam os soldados amarelos? Deu um pontapé na parede, gritou enfurecido. Para que serviam os soldados amarelos? Os outros presos remexeram-se, o carcereiro chegou à grade, e Fabiano acalmou-se: - Bem, bem. Não há nada não.
(...)
Fabiano gritou, assustando o bêbedo, os tipos que abanavam o fogo, o carcereiro e a mulher que se queixava das pulgas. Tinha aqueles cambões pendurados ao pescoço. Deveria continuar a arrastálos? Sinhá Vitória dormia mal na cama de varas. Os meninos eram uns brutos, como o pai. Quando crescessem, guardariam as reses de um patrão invisível, seriam pisados, maltratados, machucados por um soldado amarelo.
- Arreda!
Ramos, G. Vidas Secas. Record. 199ª ed. Edição original de 1938.
Assinale a única alternativa em que a pontuação obedeça às normas previstas pelos manuais de gramática da Língua Portuguesa.
 

Provas

Questão presente nas seguintes provas
Texto 1
Vidas Secas
Graciliano Ramos
Capítulo III – Cadeia (fragmento)
Fabiano tinha ido à feira da cidade comprar mantimentos. Precisava sal, farinha, feijão e rapaduras. Sinhá Vitória pedira além disso uma garrafa de querosene e um corte de chita vermelha. Mas o querosene de seu Inácio estava misturado com água, e a chita da amostra era cara demais.
Fabiano percorreu as lojas, escolhendo o pano regateando um tostão em côvado, receoso de ser enganado. Andava irresoluto, uma longa desconfiança dava-lhe gestos oblíquos. A tarde puxou o dinheiro, meio tentado, e logo se arrependeu, certo de que todos os caixeiros furtavam no preço e na medida: amarrou as notas na ponta do lenço, meteu-as na algibeira, dirigiu-se à bodega de seu Inácio, onde guardara os picuás.
Aí certificou-se novamente de que o querosene estava batizado e decidiu beber uma pinga, pois sentia calor. Seu Inácio trouxe a garrafa de aguardente. Fabiano virou o copo de um trago, cuspiu, limpou os beiços à manga, contraiu o rosto. Ia jurar que a cachaça tinha água. Por que seria que seu Inácio botava água em tudo? perguntou mentalmente. Animou-se e interrogou o bodegueiro: - Por que é que vossemecê bota água em tudo?
Seu Inácio fingiu não ouvir. E Fabiano foi sentar-se na calçada, resolvido a conversar. O vocabulário dele era pequeno, mas em horas de comunicabilidade enriquecia-se com algumas expressões de seu Tomás da bolandeira. Pobre de seu Tomás. Um homem tão direito sumir-se como cambembe, andar por este mundo de trouxa nas costas. Seu Tomás era pessoa de consideração e votava. Quem diria?
Nesse ponto um soldado amarelo aproximou-se e bateu familiarmente no ombro de Fabiano: - Como é, camarada? Vamos jogar um trinta-e-um lá dentro? Fabiano atentou na farda com respeito e gaguejou, procurando as palavras de seu Tomás da bolandeira: - Isto é. Vamos e não vamos. Quer dizer Enfim, contanto, etc. É conforme.
Levantou-se e caminhou atrás do amarelo, que era autoridade e mandava. Fabiano sempre havia obedecido. Tinha muque e substância, mas pensava pouco, desejava pouco e obedecia. Atravessaram a bodega, a corredor, desembocaram numa sala onde vários tipos jogavam cartas em cima de uma esteira.
(...)
Fabiano, as orelhas ardendo, não se virou. Foi pedir a seu Inácio os troços que ele havia guardado, vestiu o gibão, passou as correias dos alforjes no ombro, ganhou a rua.
Debaixo do jatobá do quadro taramelou com Sinhá Rita louceira, sem se atrever a voltar para casa. Que desculpa iria apresentar a Sinhá Vitória? Forjava uma explicação difícil. Perdera o embrulho da fazenda, pagara na botica uma garrafada para Sinhá Rita louceira. Atrapalhava-se tinha imaginação fraca e não sabia mentir. Nas invenções com que pretendia justificar-se a figura de Sinhá Rita aparecia sempre, e isto o desgostava. Arruinaria uma história sem ela, diria que haviam furtado o cobre da chita. Pois não era? Os parceiros o tinham pelado no trinta-e-um. Mas não devia mencionar o jogo. Contaria simplesmente que o lenço das notas ficara no bolso do gibão e levara sumiço. Falaria assim: - "Comprei os mantimentos. Botei o gibão e os alforjes na bodega de seu Inácio. Encontrei um soldado amarelo" Não, não encontrara ninguém. Atrapalhava-se de novo. Sentia desejo de referir-se ao soldado, um conhecido velho, amigo de infância. A mulher se incharia com a notícia. Talvez não se inchasse. Era atilada, notaria a pabulagem. Pois estava acabado. O dinheiro fugira do bolso do gibão, na venda de seu Inácio. Natural.
(...)
Afinal para que serviam os soldados amarelos? Deu um pontapé na parede, gritou enfurecido. Para que serviam os soldados amarelos? Os outros presos remexeram-se, o carcereiro chegou à grade, e Fabiano acalmou-se: - Bem, bem. Não há nada não.
(...)
Fabiano gritou, assustando o bêbedo, os tipos que abanavam o fogo, o carcereiro e a mulher que se queixava das pulgas. Tinha aqueles cambões pendurados ao pescoço. Deveria continuar a arrastálos? Sinhá Vitória dormia mal na cama de varas. Os meninos eram uns brutos, como o pai. Quando crescessem, guardariam as reses de um patrão invisível, seriam pisados, maltratados, machucados por um soldado amarelo.
- Arreda!
Ramos, G. Vidas Secas. Record. 199ª ed. Edição original de 1938.
Assinale a única alternativa em que houve erro em relação às regras de concordância da Língua Portuguesa.
 

Provas

Questão presente nas seguintes provas
Texto 1
Vidas Secas
Graciliano Ramos
Capítulo III – Cadeia (fragmento)
Fabiano tinha ido à feira da cidade comprar mantimentos. Precisava sal, farinha, feijão e rapaduras. Sinhá Vitória pedira além disso uma garrafa de querosene e um corte de chita vermelha. Mas o querosene de seu Inácio estava misturado com água, e a chita da amostra era cara demais.
Fabiano percorreu as lojas, escolhendo o pano regateando um tostão em côvado, receoso de ser enganado. Andava irresoluto, uma longa desconfiança dava-lhe gestos oblíquos. A tarde puxou o dinheiro, meio tentado, e logo se arrependeu, certo de que todos os caixeiros furtavam no preço e na medida: amarrou as notas na ponta do lenço, meteu-as na algibeira, dirigiu-se à bodega de seu Inácio, onde guardara os picuás.
Aí certificou-se novamente de que o querosene estava batizado e decidiu beber uma pinga, pois sentia calor. Seu Inácio trouxe a garrafa de aguardente. Fabiano virou o copo de um trago, cuspiu, limpou os beiços à manga, contraiu o rosto. Ia jurar que a cachaça tinha água. Por que seria que seu Inácio botava água em tudo? perguntou mentalmente. Animou-se e interrogou o bodegueiro: - Por que é que vossemecê bota água em tudo?
Seu Inácio fingiu não ouvir. E Fabiano foi sentar-se na calçada, resolvido a conversar. O vocabulário dele era pequeno, mas em horas de comunicabilidade enriquecia-se com algumas expressões de seu Tomás da bolandeira. Pobre de seu Tomás. Um homem tão direito sumir-se como cambembe, andar por este mundo de trouxa nas costas. Seu Tomás era pessoa de consideração e votava. Quem diria?
Nesse ponto um soldado amarelo aproximou-se e bateu familiarmente no ombro de Fabiano: - Como é, camarada? Vamos jogar um trinta-e-um lá dentro? Fabiano atentou na farda com respeito e gaguejou, procurando as palavras de seu Tomás da bolandeira: - Isto é. Vamos e não vamos. Quer dizer Enfim, contanto, etc. É conforme.
Levantou-se e caminhou atrás do amarelo, que era autoridade e mandava. Fabiano sempre havia obedecido. Tinha muque e substância, mas pensava pouco, desejava pouco e obedecia. Atravessaram a bodega, a corredor, desembocaram numa sala onde vários tipos jogavam cartas em cima de uma esteira.
(...)
Fabiano, as orelhas ardendo, não se virou. Foi pedir a seu Inácio os troços que ele havia guardado, vestiu o gibão, passou as correias dos alforjes no ombro, ganhou a rua.
Debaixo do jatobá do quadro taramelou com Sinhá Rita louceira, sem se atrever a voltar para casa. Que desculpa iria apresentar a Sinhá Vitória? Forjava uma explicação difícil. Perdera o embrulho da fazenda, pagara na botica uma garrafada para Sinhá Rita louceira. Atrapalhava-se tinha imaginação fraca e não sabia mentir. Nas invenções com que pretendia justificar-se a figura de Sinhá Rita aparecia sempre, e isto o desgostava. Arruinaria uma história sem ela, diria que haviam furtado o cobre da chita. Pois não era? Os parceiros o tinham pelado no trinta-e-um. Mas não devia mencionar o jogo. Contaria simplesmente que o lenço das notas ficara no bolso do gibão e levara sumiço. Falaria assim: - "Comprei os mantimentos. Botei o gibão e os alforjes na bodega de seu Inácio. Encontrei um soldado amarelo" Não, não encontrara ninguém. Atrapalhava-se de novo. Sentia desejo de referir-se ao soldado, um conhecido velho, amigo de infância. A mulher se incharia com a notícia. Talvez não se inchasse. Era atilada, notaria a pabulagem. Pois estava acabado. O dinheiro fugira do bolso do gibão, na venda de seu Inácio. Natural.
(...)
Afinal para que serviam os soldados amarelos? Deu um pontapé na parede, gritou enfurecido. Para que serviam os soldados amarelos? Os outros presos remexeram-se, o carcereiro chegou à grade, e Fabiano acalmou-se: - Bem, bem. Não há nada não.
(...)
Fabiano gritou, assustando o bêbedo, os tipos que abanavam o fogo, o carcereiro e a mulher que se queixava das pulgas. Tinha aqueles cambões pendurados ao pescoço. Deveria continuar a arrastálos? Sinhá Vitória dormia mal na cama de varas. Os meninos eram uns brutos, como o pai. Quando crescessem, guardariam as reses de um patrão invisível, seriam pisados, maltratados, machucados por um soldado amarelo.
- Arreda!
Ramos, G. Vidas Secas. Record. 199ª ed. Edição original de 1938.
Assinale a única alternativa em que ocorre erro no uso do acento indicativo de crase.
 

Provas

Questão presente nas seguintes provas
Texto 1
Vidas Secas
Graciliano Ramos
Capítulo III – Cadeia (fragmento)
Fabiano tinha ido à feira da cidade comprar mantimentos. Precisava sal, farinha, feijão e rapaduras. Sinhá Vitória pedira além disso uma garrafa de querosene e um corte de chita vermelha. Mas o querosene de seu Inácio estava misturado com água, e a chita da amostra era cara demais.
Fabiano percorreu as lojas, escolhendo o pano regateando um tostão em côvado, receoso de ser enganado. Andava irresoluto, uma longa desconfiança dava-lhe gestos oblíquos. A tarde puxou o dinheiro, meio tentado, e logo se arrependeu, certo de que todos os caixeiros furtavam no preço e na medida: amarrou as notas na ponta do lenço, meteu-as na algibeira, dirigiu-se à bodega de seu Inácio, onde guardara os picuás.
Aí certificou-se novamente de que o querosene estava batizado e decidiu beber uma pinga, pois sentia calor. Seu Inácio trouxe a garrafa de aguardente. Fabiano virou o copo de um trago, cuspiu, limpou os beiços à manga, contraiu o rosto. Ia jurar que a cachaça tinha água. Por que seria que seu Inácio botava água em tudo? perguntou mentalmente. Animou-se e interrogou o bodegueiro: - Por que é que vossemecê bota água em tudo?
Seu Inácio fingiu não ouvir. E Fabiano foi sentar-se na calçada, resolvido a conversar. O vocabulário dele era pequeno, mas em horas de comunicabilidade enriquecia-se com algumas expressões de seu Tomás da bolandeira. Pobre de seu Tomás. Um homem tão direito sumir-se como cambembe, andar por este mundo de trouxa nas costas. Seu Tomás era pessoa de consideração e votava. Quem diria?
Nesse ponto um soldado amarelo aproximou-se e bateu familiarmente no ombro de Fabiano: - Como é, camarada? Vamos jogar um trinta-e-um lá dentro? Fabiano atentou na farda com respeito e gaguejou, procurando as palavras de seu Tomás da bolandeira: - Isto é. Vamos e não vamos. Quer dizer Enfim, contanto, etc. É conforme.
Levantou-se e caminhou atrás do amarelo, que era autoridade e mandava. Fabiano sempre havia obedecido. Tinha muque e substância, mas pensava pouco, desejava pouco e obedecia. Atravessaram a bodega, a corredor, desembocaram numa sala onde vários tipos jogavam cartas em cima de uma esteira.
(...)
Fabiano, as orelhas ardendo, não se virou. Foi pedir a seu Inácio os troços que ele havia guardado, vestiu o gibão, passou as correias dos alforjes no ombro, ganhou a rua.
Debaixo do jatobá do quadro taramelou com Sinhá Rita louceira, sem se atrever a voltar para casa. Que desculpa iria apresentar a Sinhá Vitória? Forjava uma explicação difícil. Perdera o embrulho da fazenda, pagara na botica uma garrafada para Sinhá Rita louceira. Atrapalhava-se tinha imaginação fraca e não sabia mentir. Nas invenções com que pretendia justificar-se a figura de Sinhá Rita aparecia sempre, e isto o desgostava. Arruinaria uma história sem ela, diria que haviam furtado o cobre da chita. Pois não era? Os parceiros o tinham pelado no trinta-e-um. Mas não devia mencionar o jogo. Contaria simplesmente que o lenço das notas ficara no bolso do gibão e levara sumiço. Falaria assim: - "Comprei os mantimentos. Botei o gibão e os alforjes na bodega de seu Inácio. Encontrei um soldado amarelo" Não, não encontrara ninguém. Atrapalhava-se de novo. Sentia desejo de referir-se ao soldado, um conhecido velho, amigo de infância. A mulher se incharia com a notícia. Talvez não se inchasse. Era atilada, notaria a pabulagem. Pois estava acabado. O dinheiro fugira do bolso do gibão, na venda de seu Inácio. Natural.
(...)
Afinal para que serviam os soldados amarelos? Deu um pontapé na parede, gritou enfurecido. Para que serviam os soldados amarelos? Os outros presos remexeram-se, o carcereiro chegou à grade, e Fabiano acalmou-se: - Bem, bem. Não há nada não.
(...)
Fabiano gritou, assustando o bêbedo, os tipos que abanavam o fogo, o carcereiro e a mulher que se queixava das pulgas. Tinha aqueles cambões pendurados ao pescoço. Deveria continuar a arrastálos? Sinhá Vitória dormia mal na cama de varas. Os meninos eram uns brutos, como o pai. Quando crescessem, guardariam as reses de um patrão invisível, seriam pisados, maltratados, machucados por um soldado amarelo.
- Arreda!
Ramos, G. Vidas Secas. Record. 199ª ed. Edição original de 1938.
Assinale a única alternativa em que o(s) termo(s) destacado(s) é(são) classificado(s) como complemento nominal.
 

Provas

Questão presente nas seguintes provas
Texto 1
Vidas Secas
Graciliano Ramos
Capítulo III – Cadeia (fragmento)
Fabiano tinha ido à feira da cidade comprar mantimentos. Precisava sal, farinha, feijão e rapaduras. Sinhá Vitória pedira além disso uma garrafa de querosene e um corte de chita vermelha. Mas o querosene de seu Inácio estava misturado com água, e a chita da amostra era cara demais.
Fabiano percorreu as lojas, escolhendo o pano regateando um tostão em côvado, receoso de ser enganado. Andava irresoluto, uma longa desconfiança dava-lhe gestos oblíquos. A tarde puxou o dinheiro, meio tentado, e logo se arrependeu, certo de que todos os caixeiros furtavam no preço e na medida: amarrou as notas na ponta do lenço, meteu-as na algibeira, dirigiu-se à bodega de seu Inácio, onde guardara os picuás.
Aí certificou-se novamente de que o querosene estava batizado e decidiu beber uma pinga, pois sentia calor. Seu Inácio trouxe a garrafa de aguardente. Fabiano virou o copo de um trago, cuspiu, limpou os beiços à manga, contraiu o rosto. Ia jurar que a cachaça tinha água. Por que seria que seu Inácio botava água em tudo? perguntou mentalmente. Animou-se e interrogou o bodegueiro: - Por que é que vossemecê bota água em tudo?
Seu Inácio fingiu não ouvir. E Fabiano foi sentar-se na calçada, resolvido a conversar. O vocabulário dele era pequeno, mas em horas de comunicabilidade enriquecia-se com algumas expressões de seu Tomás da bolandeira. Pobre de seu Tomás. Um homem tão direito sumir-se como cambembe, andar por este mundo de trouxa nas costas. Seu Tomás era pessoa de consideração e votava. Quem diria?
Nesse ponto um soldado amarelo aproximou-se e bateu familiarmente no ombro de Fabiano: - Como é, camarada? Vamos jogar um trinta-e-um lá dentro? Fabiano atentou na farda com respeito e gaguejou, procurando as palavras de seu Tomás da bolandeira: - Isto é. Vamos e não vamos. Quer dizer Enfim, contanto, etc. É conforme.
Levantou-se e caminhou atrás do amarelo, que era autoridade e mandava. Fabiano sempre havia obedecido. Tinha muque e substância, mas pensava pouco, desejava pouco e obedecia. Atravessaram a bodega, a corredor, desembocaram numa sala onde vários tipos jogavam cartas em cima de uma esteira.
(...)
Fabiano, as orelhas ardendo, não se virou. Foi pedir a seu Inácio os troços que ele havia guardado, vestiu o gibão, passou as correias dos alforjes no ombro, ganhou a rua.
Debaixo do jatobá do quadro taramelou com Sinhá Rita louceira, sem se atrever a voltar para casa. Que desculpa iria apresentar a Sinhá Vitória? Forjava uma explicação difícil. Perdera o embrulho da fazenda, pagara na botica uma garrafada para Sinhá Rita louceira. Atrapalhava-se tinha imaginação fraca e não sabia mentir. Nas invenções com que pretendia justificar-se a figura de Sinhá Rita aparecia sempre, e isto o desgostava. Arruinaria uma história sem ela, diria que haviam furtado o cobre da chita. Pois não era? Os parceiros o tinham pelado no trinta-e-um. Mas não devia mencionar o jogo. Contaria simplesmente que o lenço das notas ficara no bolso do gibão e levara sumiço. Falaria assim: - "Comprei os mantimentos. Botei o gibão e os alforjes na bodega de seu Inácio. Encontrei um soldado amarelo" Não, não encontrara ninguém. Atrapalhava-se de novo. Sentia desejo de referir-se ao soldado, um conhecido velho, amigo de infância. A mulher se incharia com a notícia. Talvez não se inchasse. Era atilada, notaria a pabulagem. Pois estava acabado. O dinheiro fugira do bolso do gibão, na venda de seu Inácio. Natural.
(...)
Afinal para que serviam os soldados amarelos? Deu um pontapé na parede, gritou enfurecido. Para que serviam os soldados amarelos? Os outros presos remexeram-se, o carcereiro chegou à grade, e Fabiano acalmou-se: - Bem, bem. Não há nada não.
(...)
Fabiano gritou, assustando o bêbedo, os tipos que abanavam o fogo, o carcereiro e a mulher que se queixava das pulgas. Tinha aqueles cambões pendurados ao pescoço. Deveria continuar a arrastálos? Sinhá Vitória dormia mal na cama de varas. Os meninos eram uns brutos, como o pai. Quando crescessem, guardariam as reses de um patrão invisível, seriam pisados, maltratados, machucados por um soldado amarelo.
- Arreda!
Ramos, G. Vidas Secas. Record. 199ª ed. Edição original de 1938.
Assinale a única alternativa em que o(s) termo(s) destacado(s) foi(ram) classificado(s) corretamente, em relação à sintaxe da Língua Portuguesa.
 

Provas

Questão presente nas seguintes provas