Foram encontradas 40 questões.
2930057
Ano: 2023
Disciplina: Direito Administrativo
Banca: FUNDATEC
Orgão: Pref. Tapejara-RS
Disciplina: Direito Administrativo
Banca: FUNDATEC
Orgão: Pref. Tapejara-RS
Provas:
Os atos de improbidade administrativa e as sanções aplicáveis em razão de práticas
deles decorrentes estão previstos na Lei nº 8.429/1992. Nesse sentido, nos termos da Lei de
Improbidade Administrativa, tem-se que: o mero exercício da função ou desempenho de competências , sem comprovação de ato doloso com fim ilícito, afasta a por ato de
improbidade administrativa.
Assinale a alternativa que preenche, correta e respectivamente, as lacunas do trecho acima.
Assinale a alternativa que preenche, correta e respectivamente, as lacunas do trecho acima.
Provas
Questão presente nas seguintes provas
- Lógica ProposicionalEquivalências Lógicas
- Lógica ProposicionalNegação de Proposições CompostasLeis de De Morgan
A negação da proposição “Pedro digita e Carla não trabalha” é:
Provas
Questão presente nas seguintes provas
Considerando os intervalos A [ -2, 7 [ e B ] -4, 5], o intervalo que representa A ∩ B
é
Provas
Questão presente nas seguintes provas
A Lei Orgânica do Município de Tapejara tem fundamento constitucional e possui o
proposto de definir, genericamente, a organização básica do município. Sobre essa lei, assinale a
alternativa correta.
Provas
Questão presente nas seguintes provas
A Lei Municipal nº 3.433/2010 consolida o Quadro de Cargos, Funções Públicas e o
Plano de Carreira de Servidores do Município de Tapejara, além de dar outras providências. A partir
do que estabelece o referido instrumento normativo, analise as assertivas abaixo e assinale V, se
verdadeiras, ou F, se falsas.
( ) Os treinamentos promovidos para os servidores municipais têm por objetivo capacitá-los para o desempenho de suas funções e serão ministrados exclusivamente para os servidores recém-ingressados na carreira.
( ) Merecimento é a demonstração positiva do servidor no exercício do seu cargo e se evidencia pelo desempenho de forma eficiente, dedicada e leal das atribuições que lhe são cometidas, bem como pela sua assiduidade, pontualidade e disciplina. Em princípio, todo servidor tem merecimento para ser promovido de classe.
( ) A fim de garantir pleno merecimento, o Plano de Carreira do Município repudia a observância de critério de tempo de serviço em cada classe, para fins de promoção.
A ordem correta de preenchimento dos parênteses, de cima para baixo, é:
( ) Os treinamentos promovidos para os servidores municipais têm por objetivo capacitá-los para o desempenho de suas funções e serão ministrados exclusivamente para os servidores recém-ingressados na carreira.
( ) Merecimento é a demonstração positiva do servidor no exercício do seu cargo e se evidencia pelo desempenho de forma eficiente, dedicada e leal das atribuições que lhe são cometidas, bem como pela sua assiduidade, pontualidade e disciplina. Em princípio, todo servidor tem merecimento para ser promovido de classe.
( ) A fim de garantir pleno merecimento, o Plano de Carreira do Município repudia a observância de critério de tempo de serviço em cada classe, para fins de promoção.
A ordem correta de preenchimento dos parênteses, de cima para baixo, é:
Provas
Questão presente nas seguintes provas
Relacione a Coluna 1 à Coluna 2, associando os conceitos apresentados pelo Código
de Posturas do Município de Tapejara/RS (Lei nº 545/1972) às suas respectivas definições.
Coluna 1
1. Infração.
2. Auto de infração.
3. Infrator.
4. Reincidente.
Coluna 2
( ) É aquele que cometer, mandar, constranger ou auxiliar alguém a praticar infração, e, ainda, os encarregados da execução das leis, que, tendo conhecimento de infração, deixarem de autuar o infrator.
( ) Ação ou omissão contrária às disposições do Código de Posturas do Município de Tapejara ou de outras leis, decretos, resoluções ou atos baixados pelo governo municipal, no uso do seu poder de polícia.
( ) Instrumento por meio do que a autoridade municipal apura a violação das disposições do Código de Posturas do Município de Tapejara e de outras leis, decretos e regulamentos do município.
( ) É aquele que violar preceito do Código de Posturas do Município de Tapejara por cuja infração já tiver sido autuado e punido.
A ordem correta de preenchimento dos parênteses, de cima para baixo, é:
Coluna 1
1. Infração.
2. Auto de infração.
3. Infrator.
4. Reincidente.
Coluna 2
( ) É aquele que cometer, mandar, constranger ou auxiliar alguém a praticar infração, e, ainda, os encarregados da execução das leis, que, tendo conhecimento de infração, deixarem de autuar o infrator.
( ) Ação ou omissão contrária às disposições do Código de Posturas do Município de Tapejara ou de outras leis, decretos, resoluções ou atos baixados pelo governo municipal, no uso do seu poder de polícia.
( ) Instrumento por meio do que a autoridade municipal apura a violação das disposições do Código de Posturas do Município de Tapejara e de outras leis, decretos e regulamentos do município.
( ) É aquele que violar preceito do Código de Posturas do Município de Tapejara por cuja infração já tiver sido autuado e punido.
A ordem correta de preenchimento dos parênteses, de cima para baixo, é:
Provas
Questão presente nas seguintes provas
2930031
Ano: 2023
Disciplina: Matemática Financeira
Banca: FUNDATEC
Orgão: Pref. Tapejara-RS
Disciplina: Matemática Financeira
Banca: FUNDATEC
Orgão: Pref. Tapejara-RS
Provas:
Um capital é aplicado a juros simples de 2% ao mês durante 1 semestre, rendendo
juros de R$ 23.400,00. O valor referente a 35% do montante dessa aplicação após 6 meses será de:
Provas
Questão presente nas seguintes provas
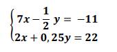
Considerando o sistema de equação a seguir, determine o valor de ![]()

Provas
Questão presente nas seguintes provas
Uma caixa em formato de paralelepípedo, com comprimento igual a 35 cm, altura
de 0,50 m e profundidade de 0,25 m, será preenchida com o equivalente a 80% do seu volume. Qual
o volume da caixa que não será preenchido?
Provas
Questão presente nas seguintes provas
Último capítulo

(Disponível em: gauchazh.clicrbs.com.br/colunistas/cristina-bonorino/noticia/2023/08/ultimo-capitulo-cllqez6mz0005015k1hdk8tzc.html – texto adaptado especialmente para esta prova).
Provas
Questão presente nas seguintes provas
Cadernos
Caderno Container