Foram encontradas 40 questões.
Avalie o que se afirma sobre os métodos oficiais de análise de alimentos de origem animal.
I - A análise de desglaciamento é realizada em leite e produtos lácteos.
II - Mel e produtos apícolas são avaliados quanto ao ponto de saponificação turva.
III - A avaliação do pH é um método oficial para a avaliação de todos os produtos de origem animal.
IV - A determinação de colágeno é um método químico empregado na avaliação de carnes e de produtos cárneos.
V - A avaliação do número mais provável de Vibrio parahaemolyticus é realizada em amostras de ovos e derivados.
VI - A contagem de coliformes termotolerantes e coliformes totais em alimentos deve ser utilizada quando o limite máximo tolerado for igual ou superior a 100UFC/g ou mL.
Está correto apenas o que se afirma em
Provas
Considerando-se a recuperação de áreas degradadas, associe o prazo de execução às estratégias.
PRAZOS
1 - Curto
2 - Médio
3 - Longo
ESTRATÉGIAS
( ) Pousio.
( ) Adubação química.
( ) Uso de corretivos da acidez.
( ) Integração lavoura-pecuária.
( ) Recuperação de matas ciliares.
( ) Introdução de sistemas silvipastoris.
A sequência correta dessa associação é
Provas
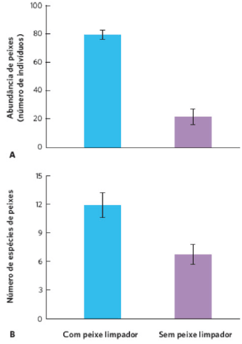
A figura a seguir demonstra a variação da abundância (A) e diversidade (B) de uma comunidade de peixes de recifes corais antes e 18 meses após a remoção de peixes limpadores.

Fonte: Grutter AS et al. Cleaner fish drives local fish diversity on coral reefs. Current Biology. 2003; 13:647. Retirado de Ricklefs, R.E. Economia da Natureza. 6ª ed. Guanabara Koogan p. 547.
Avaliando-se os dados apresentados na figura, é correto afirmar que o efeito observado ocorreu em decorrência da relação ecológica denominada
Provas
Informe se é verdadeiro (V) ou falso (F) o que se afirma sobre controles populacionais em ecologia.
( ) O resultado da competição pode ser alterado apenas pelas condições abióticas e perturbações.
( ) Segundo a Lei do mínimo de Leibig, os recursos, individualmente, não exercem efeito sobre o crescimento populacional.
( ) A competição de interferência é aquela em que os competidores não consomem imediatamente os recursos, mas o defendem.
( ) Enquanto a competição exploratória é uma interação direta entre indivíduos, a competição de interferência é indireta, pois atua através de um recurso.
( ) A Lei do mínimo de Liebig estabelece que uma população aumenta de tamanho até que o suprimento do recurso mais limitante impeça seu crescimento adicional.
( ) A competição exploratória é aquela em que um determinado indivíduo consome e reduz a abundância de um recurso específico até que outros indivíduos não consigam persistir.
( ) O princípio da exclusão competitiva ou princípio de Gause estabelece que, quando duas espécies distintas são limitadas pelo mesmo recurso, elas não podem coexistir indefinidamente.
De acordo com as afirmações, a sequência correta é
Provas
Considerando o manejo de vegetais empregados na arborização urbana, associe o tipo de poda à sua respectiva função.
TIPOS DE PODA
1 - De formação
2 - De condução
3 - De limpeza
4 - De correção
5 - De adequação
6 - De levantamento
7 - De emergência
FUNÇÕES
( ) Consiste na remoção dos ramos mais baixos da copa que impeçam a livre circulação de pessoas e veículos
( ) Soluciona ou ameniza conflitos entre equipamentos urbanos e arborização, como iluminação pública, por exemplo.
( ) Remove partes do vegetal que se quebram durante eventos meteorológicos e que apresentem risco iminente de queda.
( ) Visa direcionar o desenvolvimento da copa para os espaços disponíveis, de acordo com o modelo arquitetônico da espécie.
( ) Visa eliminar problemas estruturais que comprometam a estabilidade do vegetal e seu objetivo principal é equilibrar a copa.
( ) Elimina ramos secos, senis e mortos que representam riscos pela possibilidade de queda e de serem focos de problemas fitossanitários.
( ) É realizada no viveiro e condiciona o desenvolvimento do vegetal e sua adaptação às condições em que vai ser plantado definitivamente.
A sequência correta dessa associação é
Provas
Preencha corretamente as lacunas do texto a seguir quanto à leishmaniose, protozoonose de grande importância para a saúde pública.
A Leishmaniose Visceral (LV) é uma protozoonose _______________, _______________, caracterizada em humanos por febre de longa duração, perda de peso, astenia, adinamia e anemia, entre outras manifestações. No Brasil, duas espécies do gênero _______________ são consideradas vetores da doença.
A sequência que preenche corretamente as lacunas do texto é
Provas
Informe se é verdadeiro (V) ou falso (F) o que se afirma a respeito das justificativas acerca dos coliformes terem sido escolhidos como indicadores da contaminação da água.
( ) São capazes de se multiplicarem em ambiente aquático.
( ) São nutricionalmente mais exigentes que as bactérias patogênicas intestinais.
( ) Estão presentes nas fezes de animais homeotérmicos, inclusive os seres humanos.
( ) Sua presença na água está diretamente relacionada ao grau de contaminação fecal.
( ) São mais resistentes à ação de agentes desinfetantes que os microorganismos patogênicos.
( ) São detectáveis e quantificáveis por técnicas simples, mas apenas em tipos específicos de água.
De acordo com as afirmações, a sequência correta é
Provas
A figura a seguir demonstra o roteiro epidemiológico de uma antropozoonose que tem como hospedeiros primários animais sinantrópicos, domésticos e silvestres.

É correto afirmar que a figura se refere à
Provas
Considere os artigos 7º e 14 da Lei Federal nº 9.985/00 e associe corretamente o tipo de Unidade de Conservação em que se inserem aos locais citados como exemplos.
TIPOS DE UNIDADE
1 - Unidade de Proteção Integral
2 - Unidade de Uso Sustentável
EXEMPLOS
( ) Parque nacional.
( ) Reserva de fauna.
( ) Floresta nacional.
( ) Estação ecológica.
( ) Reserva biológica.
( ) Reserva extrativista.
( ) Monumento nacional.
( ) Refúgio de vida silvestre.
( ) Área de proteção ambiental.
( ) Área de relevante interesse ecológico.
( ) Reserva de desenvolvimento sustentável.
( ) Reserva particular do patrimônio natural.
A sequência correta dessa associação é
Provas
A respeito das características das Redes de Atenção à Saúde, é INCORRETO afirmar que
Provas
Caderno Container