Foram encontradas 110 questões.
Considere as proposições a seguir:
p: "O sol está brilhando".
q: "Está um dia ensolarado".
Dessa forma, é correto afirmar que a proposição composta ~p ∨ (p ∧ ~q) equivale a:
Provas
Questão presente nas seguintes provas
3276063
Ano: 2024
Disciplina: Legislação Estadual e Distrital
Banca: IBADE
Orgão: PRODEST-ES
Disciplina: Legislação Estadual e Distrital
Banca: IBADE
Orgão: PRODEST-ES
Provas:
O Decreto nº 4.922 estabelece que os dados pessoais
tratados no âmbito do Poder Executivo Estadual não
devem ser compartilhados, em hipótese alguma, sob
nenhuma circunstância.
Sobre a afirmação acima é correto dizer que:
Sobre a afirmação acima é correto dizer que:
Provas
Questão presente nas seguintes provas
3276062
Ano: 2024
Disciplina: Legislação Estadual e Distrital
Banca: IBADE
Orgão: PRODEST-ES
Disciplina: Legislação Estadual e Distrital
Banca: IBADE
Orgão: PRODEST-ES
Provas:
Segundo legislação vigente, quando um servidor público
do Estado do Espírito Santo, apresentar dúvida se o seu ato
viola a lei e/ou fere os princípios éticos, o respectivo
servidor deverá:
Provas
Questão presente nas seguintes provas
3276061
Ano: 2024
Disciplina: Legislação Estadual e Distrital
Banca: IBADE
Orgão: PRODEST-ES
Disciplina: Legislação Estadual e Distrital
Banca: IBADE
Orgão: PRODEST-ES
Provas:
O Decreto nº 1595-R, de 06 de dezembro de 2005, versa
sobre:
Provas
Questão presente nas seguintes provas
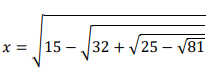
O número inteiro
é igual
a:
é igual
a:Provas
Questão presente nas seguintes provas
Sequência numérica é uma lista formada por números que
possui uma ordem, geralmente, bem definida. Considere a
sequência a seguir:
2, 7, 22, 67, ...
Sendo assim, qual é o valor do quinto termo dessa sequência?
2, 7, 22, 67, ...
Sendo assim, qual é o valor do quinto termo dessa sequência?
Provas
Questão presente nas seguintes provas
Camila é dona de uma papelaria e está fazendo um
levantamento sobre as vendas de cadernos ao longo do
ano. Ela observou que entre abril e novembro, incluindo
esses meses, vende cerca de 5 cadernos de 200 folhas por
mês. Porém, nos outros meses as vendas desse item
crescem 40%. Quantos cadernos a papelaria de Camila
vende, por mês, entre dezembro e março?
Provas
Questão presente nas seguintes provas
João possui um cubo de aresta 5 cm e precisa saber
quantos cubos, iguais a esse, cabem em sua caixa. Sabendo
que sua caixa possui 20 cm de comprimento, 15 cm de
largura e 30 cm de altura, a quantidade máxima de cubos
que podem ser colocados nessa caixa é igual a:
Provas
Questão presente nas seguintes provas
Um carro viaja a uma velocidade constante de 60 km/h. Se
o tempo de viagem é diretamente proporcional à distância
percorrida, quanto tempo levará para percorrer 240 km?
Provas
Questão presente nas seguintes provas
Sabendo que x = 3,2 e y = 5,2 é correto afirmar que x/y é
igual a:
Provas
Questão presente nas seguintes provas
Cadernos
Caderno Container