Magna Concursos

Foram encontradas 785 questões.

2738644 Ano: 2022
Disciplina: Contabilidade Geral
Banca: VUNESP
Orgão: PRUDENCO
Provas:
Os benefícios econômicos futuros incorporados a um ativo podem fluir para a entidade de diversas maneiras. Dentre outros, o ativo pode ser
 

Provas

Questão presente nas seguintes provas
2738643 Ano: 2022
Disciplina: Contabilidade Geral
Banca: VUNESP
Orgão: PRUDENCO
Provas:
Uma Companhia, que teve seu balanço encerrado ao final do exercício de 2021, necessita calcular a reserva legal para o referido exercício.
Sabendo que a empresa apresenta, para tanto, as seguintes informações hipotéticas em 31/12/2021, antes do fechamento, indique o valor em Reais da constituição da reserva legal para 2021.
• Capital social de R$ 250.000,00
• Reserva de capital R$ 100.000,00
• Reserva legal R$ 40.000,00
• Lucro do exercício R$ 450.000,00
 

Provas

Questão presente nas seguintes provas
2738642 Ano: 2022
Disciplina: Contabilidade Geral
Banca: VUNESP
Orgão: PRUDENCO
Provas:
O objetivo do relatório financeiro para fins gerais é fornecer informações financeiras, sobre a entidade que reporta, que sejam úteis para investidores, credores por empréstimos e outros credores, existentes e potenciais, na tomada de decisões referente à oferta de recursos à entidade. Essas decisões são também aplicadas para
 

Provas

Questão presente nas seguintes provas
2738641 Ano: 2022
Disciplina: Contabilidade Geral
Banca: VUNESP
Orgão: PRUDENCO
Provas:

Considere as informações a seguir para responder à questão de número 26.

Balancete da Empresa de Serviços e Comércio levantado em 30 de novembro de 2021

Balancete em 30/11/2021

Reais

Aplicações financeiras

220.000,00

Ativo Imobilizado

290.000,00

Ativos Intangíveis

60.000,00

Caixa e equivalentes de Caixa

150.000,00

Capital Social

220.000,00

Contas a pagar

82.000,00

Contas a pagar de longo prazo

90.000,00

Contas a receber de clientes

180.000,00

Demais contas a receber

120.000,00

Depreciação Acumulada

(70.000,00)

Adiantamentos

30.000,00

Empréstimos e financiamentos

170.000,00

Empréstimos e financiamentos LP

240.000,00

Estoques

210.000,00

Fornecedores

190.000,00

Impostos a recolher

116.000,00

Investimentos em Controladas

190.000,00

Reservas de capital

100.000,00

Salários a pagar

90.000,00

Títulos a receber (LP)

55.000,00

Receitas de vendas de produtos e serviços

700.000,00

Impostos sobre vendas

(95.000,00)

Devoluções de vendas

(15.000,00)

Custos dos produtos vendidos

(250.000,00)

Despesas com Vendas

(50.000,00)

Despesas Administrativas

(65.000,00)

Despesas Financeiras

(12.000,00)

Outras despesas operacionais

(6.000,00)

Despesa com IRPJ e CSLL do período

(70.000,00)

Informações adicionais para o encerramento do balanço de 2021:

Durante o mês de dezembro, ocorreram as seguintes operações:

• Vendas Líquidas de serviços à vista por R$ 100.000,00;

• Pagamento integral do saldo de salários;

• Resgate integral da aplicação financeira;

• Pagamento integral dos Fornecedores.

Após o encerramento do Balanço Patrimonial de 2021, os totais de Passivos com Terceiros e de Patrimônio Líquido, respectivamente, em R$, foram

 

Provas

Questão presente nas seguintes provas
2738640 Ano: 2022
Disciplina: Engenharia Civil
Banca: VUNESP
Orgão: PRUDENCO
Provas:
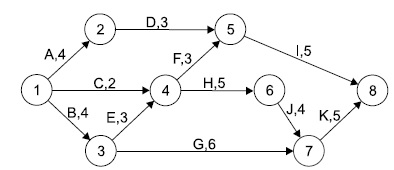
No cronograma de rede da figura, as atividades são representadas por letras, seguida de suas durações em dias. Enunciado 2738640-1


O tempo de execução dessa obra, em dias, é igual a
 

Provas

Questão presente nas seguintes provas
2738639 Ano: 2022
Disciplina: Engenharia Civil
Banca: VUNESP
Orgão: PRUDENCO
Provas:
O comando do programa AutoCAD© que permite ajustar a distância e o tamanho dos traços e pontos que compõem uma linha diferente da linha contínua é
 

Provas

Questão presente nas seguintes provas
2738638 Ano: 2022
Disciplina: Engenharia Civil
Banca: VUNESP
Orgão: PRUDENCO
Provas:
Nas operações, uso e manutenção dos sistemas prediais de água fria, que visam preservar a qualidade da água, a limpeza dos reservatórios e a verificação do funcionamento de dispositivos de proteção contra refluxo devem ser feitas, respectivamente, em periodicidade máxima
 

Provas

Questão presente nas seguintes provas
2738637 Ano: 2022
Disciplina: Engenharia Civil
Banca: VUNESP
Orgão: PRUDENCO
Provas:
Para a construção de um edifício, uma construtora contratou 40 operários, com capacidade de produção anual de 40 m2 /operário. Considerando constante o custo unitário da construção em R$ 1.200,00/m2 e se o custo fixo mensal da construtora é de R$ 15.000,00, então o custo anual é igual a
 

Provas

Questão presente nas seguintes provas
2738636 Ano: 2022
Disciplina: Engenharia Civil
Banca: VUNESP
Orgão: PRUDENCO
Provas:
Na construção de uma edificação, os custos diretos totalizaram R$ 300.000,00, e os indiretos, R$ 30.000,00. Se o lucro na venda foi de 12%, então o BDI percentual praticado pela construtora foi igual a
 

Provas

Questão presente nas seguintes provas
2738635 Ano: 2022
Disciplina: Engenharia Civil
Banca: VUNESP
Orgão: PRUDENCO
Provas:
A execução de formas para vigas requer os seguintes insumos para cada metro quadrado: 1,0 h de carpinteiro (R$ 15,00/h), 1,0 h de ajudante de carpinteiro (R$ 12,00/h), 2,0 m de sarrafo bruto (R$ 4,00/m), 0,50 m2 de tábua (R$ 22,00/m2 ) e 0,20 kg de prego (R$ 5,00/kg). Com esses insumos, o custo do metro quadrado para a execução de formas para vigas é igual a
 

Provas

Questão presente nas seguintes provas