Foram encontradas 897 questões.

Internet: <www.msnbc.msn.com> (adapted).
people will speak more than one language in the future.
Provas

Internet: <www.scientificamerican.com> (adapted).
Based on the text, judge the following item.
The word “actually” (L2) means at the present time.
Provas

Internet: <www.scientificamerican.com> (adapted).
A study conducted in Northwestern University followed more than 3,000 Medicare patients.
Provas

Internet: <www.scientificamerican.com> (adapted).
Smoking can be said to be as a strong indicator of a poor prognosis for the patients as literacy.
Provas

Internet: <www.scientificamerican.com> (adapted).
According to the text,
literacy improves the quality of life.
Provas

Internet: <www.scientificamerican.com> (adapted).
According to the text,
according to David Baker, patients can’t do the things necessary to stay healthy.
Provas

Internet: <www.scientificamerican.com> (adapted).
asthma and diabetes can be said to be chronic medical conditions.
Provas

Internet: <www.scientificamerican.com> (adapted).
all patients are able to care for their diseases if they can count on their doctors.
Provas

Internet: <www.scientificamerican.com> (adapted).
the ability to read and write can be the strongest leading predictor of death.
Provas
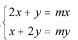
Para que o sistema
admita uma solução diferente da trivial, é suficiente que a constante m seja não nula.Provas
Caderno Container