Foram encontradas 120 questões.
A partir dessas informações, julgue o item que se segue.
Se, para 2018, a previsão para a porcentagem de água no reservatório for dada pela composição g(x) = (ƒºG)(x), em que G(x) = 12 - x, então g(x) = x4 - 24x3 + 284x2 - 1.680x + 5.040.
Provas
A partir dessas informações, julgue o item que se segue.
Em 2017, a quantidade de água acumulada no reservatório ficou acima de 51% de sua capacidade máxima em dias de exatamente 4 meses.
Provas
A partir dessas informações, julgue o item que se segue.
Em 2017, a menor quantidade de água acumulada no reservatório foi inferior a 10% de sua capacidade máxima e foi atingida no dia 31/5/2017.
Provas
Com relação a matemática financeira, cada um do item a seguir apresenta uma situação hipotética seguida de uma assertiva a ser julgada.
Para liquidar o estoque de determinado produto, o lojista ofereceu um desconto de 10% no preço de venda. Passados alguns dias, para o estoque remanescente, o lojista concedeu novo desconto, agora de 20% sobre o preço já com primeiro desconto. Nessa situação, o valor do desconto que é equivalente a um único desconto aplicado sobre o preço do produto é igual a 28%.
Provas
A respeito de história da matemática, julgue o item subsequente.
A sequência de Fibonacci 1, 1, 2, 3, 5, 8, 13, …, fn - 1, fn, …
foi apresentada no livro Liber Abaci, escrito por Leonardo
de Pisa, como solução para um problema sobre a população
de coelhos. Essa sequência, desde então, é vastamente estudada
por possuir diversas propriedades interessantes, como,
por exemplo: a sequência das razões
converge
para L, solução da equação L² - 2L - 2 = 0.
Provas
A respeito de história da matemática, julgue o item subsequente.
Em virtude de necessidades contábeis da época, os egípcios
tinham a preferência pela utilização das frações unitárias,
isto é, aquelas em que o número 1 é o numerador. Parte
do Papiro de Rhind, um importante registro matemático
dos egípcios, trata da decomposição de frações a partir
de frações unitárias. As frações unitárias na forma 1/n
sempre podem ser decompostas em exatamente duas frações
unitárias, por exemplo,
. Nesse contexto, é correto
afirmar que as únicas decomposições da fração unitária
1/4 são 
Provas
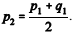
A respeito de história da matemática, julgue o item subsequente.
Os babilônicos possuíam um método próprio para o cálculo
da raiz quadrada de um número, utilizando aproximações
sucessivas. Para determinar o valor aproximado de √P ,
se estimava, primeiramente, um valor p1 para essa raiz
e calculava-se o quociente
Com esses dois números
calculava-se um novo valor p2, a média aritmética de p1 e q1,
isto é,
Repetindo esse processo sucessivamente,
obtinha-se uma aproximação da raiz quadrada. No método
babilônico, se a estimativa inicial para √2 for p1 = 1,
então a terceira aproximação de será 
Provas
Acerca de probabilidade e estatística, julgue o próximo item.
Situação hipotética: Na revisão de um livro, o editor contou 20 páginas que tiveram 0, 1, 2, 3 ou 4 erros; 36 páginas que tiveram 5, 6, 7, 8 ou 9 erros. Prosseguindo, ele obteve os valores mostrados na tabela a seguir.

Assertiva: Nesse caso, a frequência relativa para os dados da classe modal da tabela é de 40%.
Provas
Julgue o item que se segue, relativo a matriz e sistema linear.
Se a é um número real e se o determinante da matriz
for igual a zero, então a = -2
ou a = 1.
Provas
A respeito dos números complexos, julgue o item a seguir.
As raízes cúbicas do número complexo z = 1 + i são os
números complexos 
Provas
Caderno Container