Magna Concursos

Foram encontradas 467 questões.

1669979 Ano: 2008
Disciplina: Física
Banca: FADESP
Orgão: SEDUC-PA
Provas:
Os satélites são hoje suportes fundamentais, tanto para as comunicações como para a pesquisa e para o monitoramento de nosso planeta.

Considere um desses satélites terrestres orbitando com perigeu de raio rp e apogeu de raio ra. A máxima velocidade desse satélite, se o raio e a massa da Terra são R e M, respectivamente, e a constante de gravitação universal é , é dada por

 

Provas

Questão presente nas seguintes provas
1669978 Ano: 2008
Disciplina: Física
Banca: FADESP
Orgão: SEDUC-PA
Provas:

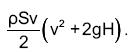
Um porão inundado deve ser evacuado com uma bomba que puxa a água de densidade ρ, por meio de uma mangueira de secção S, que passa por uma janela a uma altura H acima do piso. A potência que deve ter a bomba para a água escoar sem turbulência, com velocidade v, para fora do porão, será

 

Provas

Questão presente nas seguintes provas
1669977 Ano: 2008
Disciplina: Física
Banca: FADESP
Orgão: SEDUC-PA
Provas:

Durante o trecho isotérmico em que, no motor de Carnot, uma massa m de um gás de massa molecular M expande-se à temperatura T1, de um volume V1 até um volume V2, ele executa um trabalho dado por:

 

Provas

Questão presente nas seguintes provas
1669976 Ano: 2008
Disciplina: Química
Banca: FADESP
Orgão: SEDUC-PA
Provas:

A argila encontrada na foz de certo rio contém isótopos C14, meia vida de 5600 anos), com uma atividade natural de 1600 desintegrações por minuto. Cerâmicas feitas por ancestrais que lá habitaram apresentam atividade atual de 200 desintegrações por minuto. Pode-se calcular então que elas foram feitas, aproximadamente, no século

 

Provas

Questão presente nas seguintes provas
1669975 Ano: 2008
Disciplina: Física
Banca: FADESP
Orgão: SEDUC-PA
Provas:

O diesel tem calor de combustão igual a 10000 kcal/kg. Um motor a diesel opera com rendimento de 20%, consumindo um grama de óleo por ciclo, com uma freqüência de 7,5 ciclos por segundo. Sabendo-se que 1 cal ≈ 4 J e 1 C ≈ 750 W, pode-se concluir que a quantidade de cavalos desenvolvida por esse motor é igual a

 

Provas

Questão presente nas seguintes provas
1669974 Ano: 2008
Disciplina: Física
Banca: FADESP
Orgão: SEDUC-PA
Provas:

A força de resistência do ar sobre um modelo de carro de corridas é da forma fr = kv2, onde k é um coeficiente aerodinâmico. Se a potência do motor atinge um valor P com rendimento η, a máxima velocidade que o carro irá atingir será dada por

 

Provas

Questão presente nas seguintes provas
1669973 Ano: 2008
Disciplina: Física
Banca: FADESP
Orgão: SEDUC-PA
Provas:

Um trecho de rio escoa com velocidade vR em relação às margens. Um nadador resolve fazer dois experimentos: primeiro, ele atravessa o rio, indo e voltando de uma margem até a outra, nadando com velocidade vN em relação às margens, de modo a seguir sempre perpendicularmente à correnteza; depois, com o mesmo ritmo de braçadas, percorre a mesma distância, de ida e volta, ao longo da corrente. Cronometrando os tempos gastos nos dois experimentos, encontrar-se-á que a relação entre o que foi gasto no primeiro e no segundo será igual a

 

Provas

Questão presente nas seguintes provas
1669972 Ano: 2008
Disciplina: Física
Banca: FADESP
Orgão: SEDUC-PA
Provas:

A tabela abaixo mostra a energia consumida pelo corpo em algumas atividades

enunciado 1669972-1

Supondo-se que uma pessoa ande por uma hora até chegar a um desses restaurantes que vendem comida por peso e sabendo-se que o valor calórico de uma dieta típica, envolvendo gorduras, carboidratos e proteínas é de 5 kcal/g, a quantidade de gramas que ela deve comer para recuperar o que perdeu até chegar ao restaurante é

 

Provas

Questão presente nas seguintes provas
1669971 Ano: 2008
Disciplina: Física
Banca: FADESP
Orgão: SEDUC-PA
Provas:
Os postulados de Bohr para a descrição do átomo de hidrogênio permitem calcular a velocidade do elétron no estado fundamental, em função de sua massa m, do raio mínimo orbital r0 e da constante de Planck h, como sendo igual a
 

Provas

Questão presente nas seguintes provas
1669970 Ano: 2008
Disciplina: Física
Banca: FADESP
Orgão: SEDUC-PA
Provas:

A velocidade de uma partícula, cuja energia cinética é igual à energia de repouso, é

 

Provas

Questão presente nas seguintes provas