Magna Concursos

Foram encontradas 120 questões.

785280 Ano: 2017
Disciplina: Eletroeletrônica
Banca: CESPE / CEBRASPE
Orgão: SEE-DF

Enunciado 785280-1

Na figura precedente, que representa um triângulo de potência de um circuito monofásico, P = 10 kW e θ = 60º. Considerando essa figura e os dados da tabela, julgue o item subsecutivo.

Na forma retangular, a potência aparente de um circuito de corrente alternada, de forma genérica, pode ser expressa por Enunciado 785280-2.

 

Provas

Questão presente nas seguintes provas
785279 Ano: 2017
Disciplina: Eletroeletrônica
Banca: CESPE / CEBRASPE
Orgão: SEE-DF

Enunciado 785279-1

Na figura precedente, que representa um triângulo de potência de um circuito monofásico, P = 10 kW e θ = 60º. Considerando essa figura e os dados da tabela, julgue o item subsecutivo.

O fator de potência do circuito é igual a 0,5, indutivo.

 

Provas

Questão presente nas seguintes provas
785278 Ano: 2017
Disciplina: Eletroeletrônica
Banca: CESPE / CEBRASPE
Orgão: SEE-DF

Enunciado 785278-1

Na figura precedente, que representa um triângulo de potência de um circuito monofásico, P = 10 kW e θ = 60º. Considerando essa figura e os dados da tabela, julgue o item subsecutivo.

Na forma fasorial, a potência aparente é igual a Enunciado 785278-2.
 

Provas

Questão presente nas seguintes provas
785277 Ano: 2017
Disciplina: Eletroeletrônica
Banca: CESPE / CEBRASPE
Orgão: SEE-DF

Enunciado 785277-1

Na figura precedente, que representa um triângulo de potência de um circuito monofásico, P = 10 kW e θ = 60º. Considerando essa figura e os dados da tabela, julgue o item subsecutivo.

O valor de Q, em módulo, é igual a √3 x 10 kVAr.
 

Provas

Questão presente nas seguintes provas
785276 Ano: 2017
Disciplina: Eletroeletrônica
Banca: CESPE / CEBRASPE
Orgão: SEE-DF

Enunciado 785276-1

Na figura precedente, que representa um triângulo de potência de um circuito monofásico, P = 10 kW e θ = 60º. Considerando essa figura e os dados da tabela, julgue o item subsecutivo.

Se o fator de potência fosse alterado para unitário, os valores das potências aparente e ativa do circuito seriam mantidos.
 

Provas

Questão presente nas seguintes provas
785275 Ano: 2017
Disciplina: Eletroeletrônica
Banca: CESPE / CEBRASPE
Orgão: SEE-DF

Enunciado 785275-1

Na figura precedente, que representa um triângulo de potência de um circuito monofásico, P = 10 kW e θ = 60º. Considerando essa figura e os dados da tabela, julgue o item subsecutivo.

A potência ativa se assemelha à potência reativa na produção de trabalho útil.
 

Provas

Questão presente nas seguintes provas
785274 Ano: 2017
Disciplina: Eletroeletrônica
Banca: CESPE / CEBRASPE
Orgão: SEE-DF
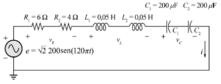
Enunciado 785274-1
R. Boylestad. Introdução à análise de circuitos. 10.a ed. São Paulo: Prentice Hall, 2004, p. 454 (com adaptações).
Tendo como referência o circuito mostrado na figura apresentada, julgue o item que se segue.
A reatância indutiva do circuito é igual a 12π Ω.
 

Provas

Questão presente nas seguintes provas
785273 Ano: 2017
Disciplina: Eletroeletrônica
Banca: CESPE / CEBRASPE
Orgão: SEE-DF
Enunciado 785273-1
R. Boylestad. Introdução à análise de circuitos. 10.a ed. São Paulo: Prentice Hall, 2004, p. 454 (com adaptações).
Tendo como referência o circuito mostrado na figura apresentada, julgue o item que se segue.
A reatância indutiva depende da frequência da fonte. A reatância capacitiva, por sua vez, não varia com a alteração da frequência.
 

Provas

Questão presente nas seguintes provas
785272 Ano: 2017
Disciplina: Eletroeletrônica
Banca: CESPE / CEBRASPE
Orgão: SEE-DF
Enunciado 785272-1
R. Boylestad. Introdução à análise de circuitos. 10.a ed. São Paulo: Prentice Hall, 2004, p. 454 (com adaptações).
Tendo como referência o circuito mostrado na figura apresentada, julgue o item que se segue.
A potência ativa liberada pela fonte é função das resistências e da corrente no circuito, sem a contribuição das indutâncias e das capacitâncias.
 

Provas

Questão presente nas seguintes provas
785271 Ano: 2017
Disciplina: Eletroeletrônica
Banca: CESPE / CEBRASPE
Orgão: SEE-DF
Enunciado 785271-1
R. Boylestad. Introdução à análise de circuitos. 10.a ed. São Paulo: Prentice Hall, 2004, p. 454 (com adaptações).
Tendo como referência o circuito mostrado na figura apresentada, julgue o item que se segue.
Na condição de impedâncias reativas iguais (XL = XC), o circuito entra em ressonância e a impedância equivalente torna-se mínima.
 

Provas

Questão presente nas seguintes provas