Foram encontradas 65 questões.
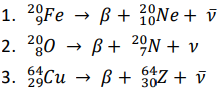
Muitos radionuclídeos decaem por emissão beta para alcançar uma maior estabilidade. Esse processo pode ser por emissão β−, por emissão β+ (pósitron) ou ainda por captura eletrônica (C.E.). Nesse processo de emissão é criado um neutrino \(v\) ou um antineutrino \(\overline{v}\) que não possuem carga nem massa.
São dadas três reações de decaimento por beta.

Quanto a emissão beta, é correto afirmar que nas reações de decaimento
Provas
Questão presente nas seguintes provas
No circuito esquematizado na figura todos os resistores têm a
mesma resistência R = 12 Ω. C e C` são duas chaves (interruptores).
A resistência equivalente entre A e B com ambas as chaves fechadas é

A resistência equivalente entre A e B com ambas as chaves fechadas é

Provas
Questão presente nas seguintes provas
Durante um processo isobárico, uma certa massa de um gás ideal
recebe 500 cal sob a forma de calor, realiza um trabalho de 200 cal
e sua temperatura sofre uma variação ΔT. Para que sua
temperatura sofresse essa mesma variação de temperatura ΔT
isotermicamente, ela precisaria receber uma quantidade de calor
Q. No entanto, para que ela recebesse essa mesma quantidade de
calor Q e sua temperatura permanecesse constante, teria que
realizar um trabalho W. Porém, para que ela realizasse esse
mesmo trabalho W adiabaticamente, sua energia interna deveria
sofrer uma variação ΔU.
Nesse caso, Q, W, e ΔU são tais que
Nesse caso, Q, W, e ΔU são tais que
Provas
Questão presente nas seguintes provas
A figura mostra um hemisfério de vidro, de centro em C e de raio
R, emborcado sobre uma mesa horizontal. Uma bolinha de gude,
de pequenas dimensões, é abandonada sobre o hemisfério, a uma
altura H acima, da mesa, e passa a deslizar sobre ele com atrito
desprezível.
Para que a bolinha perca o contato com o hemisfério no instante em que seu raio-posição em relação ao centro C faça um ângulo de 60º com a vertical, a altura inicial H deve ser
Para que a bolinha perca o contato com o hemisfério no instante em que seu raio-posição em relação ao centro C faça um ângulo de 60º com a vertical, a altura inicial H deve ser
Provas
Questão presente nas seguintes provas
- Fundamentos
- EletromagnetismoElétricaEletricidade
- EletromagnetismoElétricaForça Elétrica, Campo Elétrico e Eletrização
- Mecânica ClássicaCinemáticaCinemática VetorialVetores
Uma partícula de massa m=2.10-6 kg e carga q=4.10-5 C está em
repouso entre duas placas metálicas paralelas e horizontais
eletricamente carregadas.
Considerando a aceleração da gravidade g=10 m/s2 , é possível afirmar que o módulo do vetor campo elétrico existente entre as placas é
Considerando a aceleração da gravidade g=10 m/s2 , é possível afirmar que o módulo do vetor campo elétrico existente entre as placas é

Provas
Questão presente nas seguintes provas
Um ponto material realiza movimento harmônico simples sobre
um eixo OX, sendo sua equação horária em função do tempo:
Nessas condições, em t = 2 segundos, a velocidade escalar e a aceleração escalar do ponto material no eixo X são
Nessas condições, em t = 2 segundos, a velocidade escalar e a aceleração escalar do ponto material no eixo X são
Provas
Questão presente nas seguintes provas
Numa fábrica, um operário deixou cair, por engano, uma pedra de
gelo de 20 kg a – 10 ºC dentro de um calorímetro contendo um
composto químico líquido que deve ser mantido a 50 ºC. Para
restabelecer a temperatura do líquido em 50 ºC, injetou-se no
calorímetro vapor d’água a 120 ºC. Considere o calor latente de
fusão do gelo 80 cal/g, o latente de condensação do vapor d’água
540 cal/g, o calor específico da água líquida 1 cal/(gº
.C) e os calores
específicos do gelo e do vapor d’água ambos iguais a
0,5 cal/(g . ºC).
A massa do vapor d’água injetado no calorímetro foi
A massa do vapor d’água injetado no calorímetro foi
Provas
Questão presente nas seguintes provas
O sistema representado na figura a seguir é abandonado, com os
blocos 1 e 2 nas posições indicadas.
Os blocos 1 e 2 têm massas iguais, a roldana e os fios são ideais e os atritos são desprezíveis.
Sendo g, o módulo da aceleração da gravidade, a aceleração adquirida pelo bloco 2 é
Os blocos 1 e 2 têm massas iguais, a roldana e os fios são ideais e os atritos são desprezíveis.
Sendo g, o módulo da aceleração da gravidade, a aceleração adquirida pelo bloco 2 é
Provas
Questão presente nas seguintes provas
A figura representa um fio condutor rígido de 40 cm de
comprimento e 400 g de massa ligado a um circuito através de
contatos deslizantes sem atrito.
condutor está preso a um dinamômetro isolante que se encontra em uma região onde há um campo magnético perpendicular ao plano do fio e apontando para fora de módulo igual a 2 T. Inicialmente a chave está aberta.
Fecha-se a chave.
Reestabelecido o equilíbrio e sabendo que a resistência total no fio é de 2 Ω, o voltímetro irá acusar
condutor está preso a um dinamômetro isolante que se encontra em uma região onde há um campo magnético perpendicular ao plano do fio e apontando para fora de módulo igual a 2 T. Inicialmente a chave está aberta.
Fecha-se a chave.
Reestabelecido o equilíbrio e sabendo que a resistência total no fio é de 2 Ω, o voltímetro irá acusar
Provas
Questão presente nas seguintes provas
Para fazer a temperatura de 5 mols de um gás ideal aumentar
20 ºC é necessário ceder a ele 500 cal sob a forma de calor, a
pressão constante. Considere a constante universal dos gases
2 cal/(mol.K).
A menor quantidade de calor capaz de fazer essa massa gasosa sofrer esse acréscimo de 20 ºC na temperatura é
A menor quantidade de calor capaz de fazer essa massa gasosa sofrer esse acréscimo de 20 ºC na temperatura é
Provas
Questão presente nas seguintes provas
Cadernos
Caderno Container