Magna Concursos

Foram encontradas 40 questões.

3556891 Ano: 2024
Disciplina: Matemática
Banca: Consulplan
Orgão: SEED-PR
Provas:
Durante uma expedição arqueológica, uma equipe de pesquisadores encontrou um artefato curioso: uma peça de pedra esculpida em formato de tronco de pirâmide regular, que parecia ser parte de um monumento antigo. Após medições cuidadosas, descobriram que o artefato tinha 10 vértices, uma altura de 3 cm e que a soma dos perímetros das bases era de 30 cm. Além disso, calcularam que a soma das áreas das bases era 253cm2. Qual é o volume desse tronco de pirâmide?
 

Provas

Questão presente nas seguintes provas
3556890 Ano: 2024
Disciplina: Matemática
Banca: Consulplan
Orgão: SEED-PR
Provas:
Uma designer trabalha em uma fábrica de luminárias e precisa calcular a altura de um cone utilizado em um abajur. A superfície lateral do cone corresponde a um setor circular de 240° quando planificada. Considerando que a geratriz do cone mede 12 cm, a altura do cone, em cm, é:
 

Provas

Questão presente nas seguintes provas
3556889 Ano: 2024
Disciplina: Matemática
Banca: Consulplan
Orgão: SEED-PR
Provas:
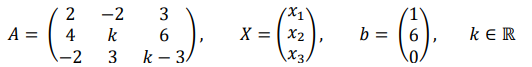
Uma empresa de tecnologia desenvolveu um software para resolver sistemas lineares que, em certas situações, podem ser impossíveis ou indeterminados. Para testar o software foi proposto o sistema linear AX = b, em que:
Enunciado 4199015-1

Sendo T a soma de todos os valores de k que tornam o sistema impossível e sendo S a soma de todos os valores de k que tornam o sistema possível e indeterminado, então o valor de T + S é:
 

Provas

Questão presente nas seguintes provas
3556888 Ano: 2024
Disciplina: Matemática
Banca: Consulplan
Orgão: SEED-PR
Provas:
Uma empresa de engenharia contratada para realizar análises de áreas e terrenos precisa calcular a área de determinadas regiões delimitadas por retas no plano cartesiano. Considere o quadrilátero formado pelos eixos coordenados e as retas r: x – 2y + 5 = 0 e s: 2x + y – 10 = 0. Qual é a área desse quadrilátero em unidades de área?
 

Provas

Questão presente nas seguintes provas
3556887 Ano: 2024
Disciplina: Matemática
Banca: Consulplan
Orgão: SEED-PR
Provas:
Uma empresa de engenharia está projetando um reservatório de água em formato de semiesfera para armazenar a água proveniente de chuvas em uma área industrial. Considerando no sistema cartesiano os pontos A = (4, 0), B = (0, 2) e C = (4, 10)são vértices de um triângulo inscrito na base desse reservatório, qual o volume do reservatório em unidades de volume?
 

Provas

Questão presente nas seguintes provas
3556886 Ano: 2024
Disciplina: Matemática
Banca: Consulplan
Orgão: SEED-PR
Provas:
Considere as retas r e s que se interceptam no ponto A e são definidas, respectivamente, pelas equações x + y = 4 e x – y = -4. No segundo quadrante, há dois pontos B e C, pertencentes às retas r e s, respectivamente, de forma que as distâncias de A até B e de A até C são iguais a 8. Qual a equação da reta que passa pelos pontos B e C?
 

Provas

Questão presente nas seguintes provas
3556885 Ano: 2024
Disciplina: Matemática
Banca: Consulplan
Orgão: SEED-PR
Provas:
Dadas as matrizes quadradas de ordem dois: Enunciado 4198998-1 e Enunciado 4198998-2. Calculando-se (A + B)2, obtém-se:
 

Provas

Questão presente nas seguintes provas
3556884 Ano: 2024
Disciplina: Matemática
Banca: Consulplan
Orgão: SEED-PR
Provas:
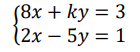
O estudo de sistemas lineares é uma parte fundamental da álgebra linear, pois permite analisar a solução de equações que representam situações com múltiplas variáveis. Considere o seguinte sistema linear de incógnitas x e y:
Enunciado 4198997-1
O sistema é:
 

Provas

Questão presente nas seguintes provas
3556883 Ano: 2024
Disciplina: Matemática
Banca: Consulplan
Orgão: SEED-PR
Provas:
Uma fábrica de refrigerantes embala suas bebidas em dois tipos de garrafas cilíndricas: tipo X e tipo Y. Sabe-se que ambas têm o mesmo volume, e a altura da garrafa do tipo Y é 16% da altura da garrafa do tipo X. Se R denota o raio da garrafa do tipo X, então o raio r da garrafa do tipo Y é:
 

Provas

Questão presente nas seguintes provas
3556882 Ano: 2024
Disciplina: Matemática
Banca: Consulplan
Orgão: SEED-PR
Provas:
Em uma obra de arte pública, o arquiteto decidiu construir um triângulo em um mural na praça central da cidade. Ele projetou um triângulo ABC em que os lados Enunciado 4198983-1, Enunciado 4198983-2 e Enunciado 4198983-3 medem 3 cm, 4 cm e 5 cm, respectivamente. Para adicionar mais detalhes à obra, ele considerou que dois pontos, M e N, estariam sobre o lado Enunciado 4198983-4, de forma que Enunciado 4198983-5 seja a altura relativa ao lado Enunciado 4198983-6, enquanto o ponto N é o ponto médio de Enunciado 4198983-7. Tendo em vista essas informações, a área do triângulo AMN, em cm², é:
 

Provas

Questão presente nas seguintes provas