Foram encontradas 40 questões.
Jeferson é professor de matemática e, em seu primeiro dia de aula, escreveu no quadro o valor da soma de seu peso e sua
idade, que é 99. Em seguida, informou aos alunos que seu peso corresponde ao triplo de sua idade mais 3 unidades. Com
base nessas informações, qual é a idade do professor Jeferson?
Provas
Questão presente nas seguintes provas
Considere o triângulo da imagem a seguir:

Considerando que , a / b = 1,25, quanto vale cos(α) + cos(β)?
Provas
Questão presente nas seguintes provas
A temperatura interna de um refrigerador, dada em graus Célsius, obedece à seguinte função: T(x) = T0 ∙ 4–x
, em que T0 é a
temperatura no interior do refrigerador no momento em que ele é ligado, x é a quantidade de horas que ele está operando
e T(x) é a temperatura no instante x. Se no momento em que esse refrigerador for acionado sua temperatura interna for de
32°C, quanto tempo levará para que ela atinja 1°C?
Provas
Questão presente nas seguintes provas
Considere uma espécie de flor extraterrestre em que o número de pétalas aumenta em progressão geométrica de razão 2 a
cada camada, possuindo n pétalas na primeira camada, 2n pétalas na segunda camada e, assim, por diante. Se uma flor dessa
espécie possuir 48 pétalas na 5ª camada e tiver um total de 12 camadas, a quantidade de pétalas que ela terá é um número:
Provas
Questão presente nas seguintes provas
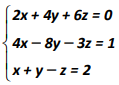
Considere o seguinte sistema linear:

É correto afirmar que esse sistema tem solução:
Provas
Questão presente nas seguintes provas
Responda à reconhecendo o infográfico a seguir como um exemplo de texto multimodal e considerando a
linguagem que o compõe.

(Disponível em: https://www.paranaeducacao.pr.gov.br/Pagina/Escola-Solar. Acesso em: agosto de 2024.)
Provas
Questão presente nas seguintes provas
Responda à reconhecendo o infográfico a seguir como um exemplo de texto multimodal e considerando a
linguagem que o compõe.

(Disponível em: https://www.paranaeducacao.pr.gov.br/Pagina/Escola-Solar. Acesso em: agosto de 2024.)
Provas
Questão presente nas seguintes provas
Nancy tem uma carteira de investimentos bastante diversificada. Um desses investimentos completou dois anos de aplicação
no regime de juros compostos sob uma taxa anual de 5%. Se o montante alcançado nesse período foi de R$ 2.314,20, qual
foi o montante obtido ao final do primeiro ano de aplicação desse investimento?
Provas
Questão presente nas seguintes provas
O celular de Gilberto estragou após ele deixar, acidentalmente, o aparelho cair na piscina no último fim de semana. Disposto
a comprar um novo celular, ele fez uma busca em lojas on-line e físicas. Uma das lojas que visitou ofereceu um aparelho que
pode ser adquirido a prazo ou à vista, conforme as seguintes condições de pagamento:
A prazo: 20% do valor total deve ser dado como entrada e o restante será pago em 5 parcelas mensais no valor de R$ 340,00 cada uma. À vista: Gilberto tem um desconto de 10% no valor total pago na condição de pagamento a prazo.
Após analisar bem as duas condições, Gilberto optou pelo pagamento do celular à vista. Desse modo, qual o valor gasto para comprar o aparelho?
A prazo: 20% do valor total deve ser dado como entrada e o restante será pago em 5 parcelas mensais no valor de R$ 340,00 cada uma. À vista: Gilberto tem um desconto de 10% no valor total pago na condição de pagamento a prazo.
Após analisar bem as duas condições, Gilberto optou pelo pagamento do celular à vista. Desse modo, qual o valor gasto para comprar o aparelho?
Provas
Questão presente nas seguintes provas
Na última copa do mundo, os funcionários do setor de recursos humanos de uma empresa fizeram um bolão para premiar o
funcionário que mais acertasse os placares de todas as partidas. Letícia foi a vencedora do bolão e ganhou uma certa quantia
em reais. Ao investir esse capital no regime de juros simples com uma taxa de 36% ao ano, ela obteve um valor de R$ 84,00
em juros após 8 meses. Com base nas informações, qual o montante obtido no término dessa aplicação?
Provas
Questão presente nas seguintes provas
Cadernos
Caderno Container