Foram encontradas 50 questões.
A tabela abaixo apresenta cinco vertebrados e as temperaturas de seus corpos em um dia de verão e em um dia de inverno.

Provas
- GeometriaGeometria PlanaTriângulosMediana, Mediatriz, Bissetriz e Altura de Triângulos
- GeometriaGeometria PlanaQuadriláteros
A área do retângulo ABCD é 48 cm2. O valor da área do paralelogramo BIDU, em cm2, é igual a

Provas
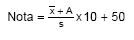
No edital do concurso para provimento de vagas no cargo de professor de educação básica do estado de Sergipe, encontra-se a seguinte descrição acerca da nota do candidato na prova do concurso:
A nota do candidato resultará da diferença entre seu escore bruto e a média do grupo, dividida pelo desvio padrão da distribuição, multiplicada por 10 (dez) e acrescida de 50 (cinqüenta).Supondo que
x = média do grupo
A = número de acertos do candidato
s = desvio padrão
qual das alternativas seguintes contém a fórmula descrita?
Provas
Observe o gráfico.

Provas
Quando observamos a fumaça liberada pelo bico de uma chaleira com água fervente, estamos vendo
Provas
Fizeram-se as seguintes afirmações sobre a formação de gêmeos na espécie humana:
I. formam-se gêmeos idênticos (univitelinos) quando dois espermatozóides fecundam o mesmo óvulo, originando dois embriões.
II. formam-se gêmeos idênticos (univitelinos) quando um óvulo é fecundado por um espermatozóide e o embrião, posteriormente, se divide, originando dois embriões.
III. formam-se gêmeos fraternos (bivitelinos) quando dois óvulos são fecundados, cada um por um espermatozóide, ocorrendo a formação de dois embriões.
Dessas afirmações, APENAS
Provas
Uma pessoa contraiu malária na região amazônica e foi para São Paulo, onde essa doença não existia. Podem aparecer casos de malária em São Paulo se
Provas
As afirmações abaixo referem-se ao esqueleto dos animais.
I. Esqueleto interno é uma característica dos vertebrados.
II. Tubarões e raias são peixes que não possuem osso, seu esqueleto é de cartilagem.
III. Tubarões e raias não são vertebrados.
É correto o que se afirma APENAS em
Provas
As questões de números 44 e 45 estão relacionadas ao mapa da região Nordeste.

Tomando como referência Aracaju, pode-se afirmar que
Provas
As questões de números 44 e 45 estão relacionadas ao mapa da região Nordeste.

Assinale a alternativa que caracteriza corretamente uma das sub-regiões nordestinas.
Provas
Caderno Container