Foram encontradas 318 questões.
O auditor deve solicitar à administração e/ou membros da governança as representações formais em conformidade com as Normas Brasileiras de Contabilidade sobre determinados assuntos, dentre os quais NÃO se inclui:
Provas
Questão presente nas seguintes provas
Os procedimentos de auditoria que incluem testes para certificar-se da existência patrimonial, de direitos e obrigações em determinada data, ocorrência das transações, da abrangência dos registros, da mensuração, apresentação e divulgação em conformidade com as normas pertinentes, são testes de
Provas
Questão presente nas seguintes provas
Entre os principais métodos de seleção de amostras citados nas Normas Brasileiras de Contabilidade Técnicas de Auditoria, aquela em que o tamanho, a seleção e a avaliação da amostra resultam em uma conclusão em quantias de dinheiro é a amostragem
Provas
Questão presente nas seguintes provas
- Documentos e RelatóriosDocumentação de Auditoria (Papéis de Trabalho)
- NBC TAsNBC TA 200: Auditoria Independente
- Planejamento de Auditoria
- Testes e Procedimentos
Considere:
I. A elaboração de relatórios e emissão de relatórios e certificados.
II Elaboração dos papéis de trabalho e aplicação de testes.
III. Avaliação dos riscos de auditoria do Sistema de Controle Interno; Planejamento e elaboração dos programas de trabalho.
IV. Monitoramento ou follow-up.
Os itens acima constituem etapas do trabalho, recomendadas pelas normas de execução dos trabalhos de auditoria para se obter evidências robustas, e devem obedecer a sequência lógica seguinte:
I. A elaboração de relatórios e emissão de relatórios e certificados.
II Elaboração dos papéis de trabalho e aplicação de testes.
III. Avaliação dos riscos de auditoria do Sistema de Controle Interno; Planejamento e elaboração dos programas de trabalho.
IV. Monitoramento ou follow-up.
Os itens acima constituem etapas do trabalho, recomendadas pelas normas de execução dos trabalhos de auditoria para se obter evidências robustas, e devem obedecer a sequência lógica seguinte:
Provas
Questão presente nas seguintes provas
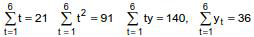
O modelo Yt = α + ßt + et , t = 1, 2, 3, ..., foi considerado para prever o lucro de uma companhia no ano (2007 + t).
Sabe-se que:
. Yt representa o lucro, em milhões de reais no ano t;
. α e ß são parâmetros desconhecidos;
. et é o correspondente erro aleatório, com as respectivas hipóteses da regressão linear;
. as estimativas de α e ß foram obtidas pelo método de mínimos quadrados, considerando-se as observações Yt no período de 6 anos (2008 a 2013).
Os dados relativos às observações são:

Nessas condições, a previsão de mínimos quadrados para o lucro da companhia, em milhões de reais, no ano de 2014, é igual a
Sabe-se que:
. Yt representa o lucro, em milhões de reais no ano t;
. α e ß são parâmetros desconhecidos;
. et é o correspondente erro aleatório, com as respectivas hipóteses da regressão linear;
. as estimativas de α e ß foram obtidas pelo método de mínimos quadrados, considerando-se as observações Yt no período de 6 anos (2008 a 2013).
Os dados relativos às observações são:

Nessas condições, a previsão de mínimos quadrados para o lucro da companhia, em milhões de reais, no ano de 2014, é igual a
Provas
Questão presente nas seguintes provas

Na frase acima,
Provas
Questão presente nas seguintes provas
“O povo não gosta de música clássica"
Estudante de Letras, mal chegado à faculdade, comecei a dar aulas de Português numa escola pública da periferia da cidade. Estava feliz porque gostei do trabalho de professor, nessa escola estadual frequentada sobretudo por comerciários, office boys, aprendizes de ofício, feirantes etc. Éramos quase todos da mesma idade, havia camaradagem entre nós.
Um dia convidei um grupinho dos mais chegados pra ir à minha casa ouvir música. “Música clássica", adverti. Preparei um programinha meio didático, dentro da sequência histórica, com peças mais ou menos breves que iam do canto gregoriano a Villa-Lobos. Comentava as diferenças de estilo, de sentimento, de complexidade. A sessão toda durou quase duas horas, incluindo minhas tagarelices. Gostaram muito.
Dois ou três dias depois, um deles (pobre, como os outros) apareceu na aula com um embrulho na mão. “Professor, comprei hoje isso pra mim. O senhor acha que essa música é boa?" Era um LP de Tchaikovsky, talvez com sinfonias ou aberturas, não me lembro. Disse que sim, e ele saiu todo sorridente. Imaginei a cena do dia: ele entrando numa casa de disco do centro da cidade e pedindo um “disco de música clássica". Venderam-lhe uma gravação barata, nacional.
Ao final do ano letivo despediu-se de mim (sairia da escola, concluído o primeiro grau) e me deixou na mão um bilhetinho. Não decorei as palavras, que eram poucas, mais ou menos estas: “Professor, muito obrigado por me fazer gostar de música clássica". Desmoronei um pouco, pensando em como este país poderia ser diferente. Não lhe disse, na hora, que a gente pode gostar naturalmente de qualquer música: é preciso que não obstruam nosso acesso a todos os gêneros musicais. E embora seja quase impossível que estas palavras cheguem ao meu antigo aluno, pergunto-lhe agora, com mais de quatro décadas de atraso: “Então, seu Carlos, gostou do Tchaikovsky?"
(Teotônio Ramires, inédito)
Considerando-se o contexto, traduz-se adequadamente o sentido do seguinte segmento:Estudante de Letras, mal chegado à faculdade, comecei a dar aulas de Português numa escola pública da periferia da cidade. Estava feliz porque gostei do trabalho de professor, nessa escola estadual frequentada sobretudo por comerciários, office boys, aprendizes de ofício, feirantes etc. Éramos quase todos da mesma idade, havia camaradagem entre nós.
Um dia convidei um grupinho dos mais chegados pra ir à minha casa ouvir música. “Música clássica", adverti. Preparei um programinha meio didático, dentro da sequência histórica, com peças mais ou menos breves que iam do canto gregoriano a Villa-Lobos. Comentava as diferenças de estilo, de sentimento, de complexidade. A sessão toda durou quase duas horas, incluindo minhas tagarelices. Gostaram muito.
Dois ou três dias depois, um deles (pobre, como os outros) apareceu na aula com um embrulho na mão. “Professor, comprei hoje isso pra mim. O senhor acha que essa música é boa?" Era um LP de Tchaikovsky, talvez com sinfonias ou aberturas, não me lembro. Disse que sim, e ele saiu todo sorridente. Imaginei a cena do dia: ele entrando numa casa de disco do centro da cidade e pedindo um “disco de música clássica". Venderam-lhe uma gravação barata, nacional.
Ao final do ano letivo despediu-se de mim (sairia da escola, concluído o primeiro grau) e me deixou na mão um bilhetinho. Não decorei as palavras, que eram poucas, mais ou menos estas: “Professor, muito obrigado por me fazer gostar de música clássica". Desmoronei um pouco, pensando em como este país poderia ser diferente. Não lhe disse, na hora, que a gente pode gostar naturalmente de qualquer música: é preciso que não obstruam nosso acesso a todos os gêneros musicais. E embora seja quase impossível que estas palavras cheguem ao meu antigo aluno, pergunto-lhe agora, com mais de quatro décadas de atraso: “Então, seu Carlos, gostou do Tchaikovsky?"
(Teotônio Ramires, inédito)
Provas
Questão presente nas seguintes provas
Filosofia de borracharia
O borracheiro coçou a desmatada cabeça e proferiu a sentença tranquilizadora: nenhum problema com o nosso pneu, aliás quase tão calvo quanto ele. Estava apenas um bocado murcho.
- Camminando si sgonfia* - explicou o camarada, com um sorriso de pouquíssimos dentes e enorme simpatia.
O italiano vem a ser um dos muitos idiomas em que a minha abrangente ignorância é especializada, mas ainda assim compreendi que o pneu do nosso carro periclitante tinha se esvaziado ao longo da estrada. Não era para menos. Tendo saído de Paris, havíamos rodado muito antes de cair naquele emaranhado de fronteiras em que você corre o risco de não saber se está na Áustria, na Suíça ou na Itália. Soubemos que estávamos no norte, no sótão da Itália, vendo um providencial borracheiro dar nova carga a um pneu sgonfiato.
Dali saímos - éramos dois jovens casais num distante verão europeu, embarcados numa aventura que, de camping em camping, nos levaria a Istambul - para dar carga nova a nossos estômagos, àquela altura não menos sgonfiati. O que pode a fome, em especial na juventude: à beira de um himalaia de sofrível espaguete fumegante, julguei ver fumaças filosóficas na sentença do tosco borracheiro. E, entre garfadas, sob o olhar zombeteiro dos companheiros de viagem, me pus a teorizar.
Sim, camminando si sgonfia, e não apenas quando se é, nesta vida, um pneu. Também nós, de tanto rodar, vamos aos poucos desinflando. E por aí fui, inflado e inflamado num papo delirante. Fosse hoje, talvez tivesse dito, infelizmente com conhecimento de causa, que a partir de determinado ponto carecemos todos de alguma espécie de fortificante, de um novo alento para o corpo, quem sabe para a alma.
* Camminando si sgonfia = andando se esvazia. Sgonfiato é vazio; sgonfiati é a forma plural.
(Adaptado de: WERNECK, Humberto – Esse inferno vai acabar. Porto
Alegre, Arquipélago, 2011, p. 85-86)
Atente para as seguintes afirmações:O borracheiro coçou a desmatada cabeça e proferiu a sentença tranquilizadora: nenhum problema com o nosso pneu, aliás quase tão calvo quanto ele. Estava apenas um bocado murcho.
- Camminando si sgonfia* - explicou o camarada, com um sorriso de pouquíssimos dentes e enorme simpatia.
O italiano vem a ser um dos muitos idiomas em que a minha abrangente ignorância é especializada, mas ainda assim compreendi que o pneu do nosso carro periclitante tinha se esvaziado ao longo da estrada. Não era para menos. Tendo saído de Paris, havíamos rodado muito antes de cair naquele emaranhado de fronteiras em que você corre o risco de não saber se está na Áustria, na Suíça ou na Itália. Soubemos que estávamos no norte, no sótão da Itália, vendo um providencial borracheiro dar nova carga a um pneu sgonfiato.
Dali saímos - éramos dois jovens casais num distante verão europeu, embarcados numa aventura que, de camping em camping, nos levaria a Istambul - para dar carga nova a nossos estômagos, àquela altura não menos sgonfiati. O que pode a fome, em especial na juventude: à beira de um himalaia de sofrível espaguete fumegante, julguei ver fumaças filosóficas na sentença do tosco borracheiro. E, entre garfadas, sob o olhar zombeteiro dos companheiros de viagem, me pus a teorizar.
Sim, camminando si sgonfia, e não apenas quando se é, nesta vida, um pneu. Também nós, de tanto rodar, vamos aos poucos desinflando. E por aí fui, inflado e inflamado num papo delirante. Fosse hoje, talvez tivesse dito, infelizmente com conhecimento de causa, que a partir de determinado ponto carecemos todos de alguma espécie de fortificante, de um novo alento para o corpo, quem sabe para a alma.
* Camminando si sgonfia = andando se esvazia. Sgonfiato é vazio; sgonfiati é a forma plural.
(Adaptado de: WERNECK, Humberto – Esse inferno vai acabar. Porto
Alegre, Arquipélago, 2011, p. 85-86)
I. A frase dita pelo borracheiro nada indiciou aos jovens turistas, que não sabiam em que país estavam - o que só veio a se esclarecer durante a refeição tipicamente italiana.
II. A familiaridade que um dos jovens revelou ter com o idioma italiano permitiu-lhe deduzir da frase do borracheiro uma súmula filosófica.
III. Como conclusão do antigo episódio narrado, o cronista lembra o quanto a vida acaba por nos tornar necessitados de novo ânimo para seguir vivendo-a.
Em relação ao texto, está correto o que se afirma em
Provas
Questão presente nas seguintes provas
Filosofia de borracharia
O borracheiro coçou a desmatada cabeça e proferiu a sentença tranquilizadora: nenhum problema com o nosso pneu, aliás quase tão calvo quanto ele. Estava apenas um bocado murcho.
- Camminando si sgonfia* - explicou o camarada, com um sorriso de pouquíssimos dentes e enorme simpatia.
O italiano vem a ser um dos muitos idiomas em que a minha abrangente ignorância é especializada, mas ainda assim compreendi que o pneu do nosso carro periclitante tinha se esvaziado ao longo da estrada. Não era para menos. Tendo saído de Paris, havíamos rodado muito antes de cair naquele emaranhado de fronteiras em que você corre o risco de não saber se está na Áustria, na Suíça ou na Itália. Soubemos que estávamos no norte, no sótão da Itália, vendo um providencial borracheiro dar nova carga a um pneu sgonfiato.
Dali saímos - éramos dois jovens casais num distante verão europeu, embarcados numa aventura que, de camping em camping, nos levaria a Istambul - para dar carga nova a nossos estômagos, àquela altura não menos sgonfiati. O que pode a fome, em especial na juventude: à beira de um himalaia de sofrível espaguete fumegante, julguei ver fumaças filosóficas na sentença do tosco borracheiro. E, entre garfadas, sob o olhar zombeteiro dos companheiros de viagem, me pus a teorizar.
Sim, camminando si sgonfia, e não apenas quando se é, nesta vida, um pneu. Também nós, de tanto rodar, vamos aos poucos desinflando. E por aí fui, inflado e inflamado num papo delirante. Fosse hoje, talvez tivesse dito, infelizmente com conhecimento de causa, que a partir de determinado ponto carecemos todos de alguma espécie de fortificante, de um novo alento para o corpo, quem sabe para a alma.
* Camminando si sgonfia = andando se esvazia. Sgonfiato é vazio; sgonfiati é a forma plural.
(Adaptado de: WERNECK, Humberto – Esse inferno vai acabar. Porto
Alegre, Arquipélago, 2011, p. 85-86)
Atente para a seguinte construção: O borracheiro explicou-nos que os pneus haviam esvaziado com o uso, e que era fácil resolver aquele problema.O borracheiro coçou a desmatada cabeça e proferiu a sentença tranquilizadora: nenhum problema com o nosso pneu, aliás quase tão calvo quanto ele. Estava apenas um bocado murcho.
- Camminando si sgonfia* - explicou o camarada, com um sorriso de pouquíssimos dentes e enorme simpatia.
O italiano vem a ser um dos muitos idiomas em que a minha abrangente ignorância é especializada, mas ainda assim compreendi que o pneu do nosso carro periclitante tinha se esvaziado ao longo da estrada. Não era para menos. Tendo saído de Paris, havíamos rodado muito antes de cair naquele emaranhado de fronteiras em que você corre o risco de não saber se está na Áustria, na Suíça ou na Itália. Soubemos que estávamos no norte, no sótão da Itália, vendo um providencial borracheiro dar nova carga a um pneu sgonfiato.
Dali saímos - éramos dois jovens casais num distante verão europeu, embarcados numa aventura que, de camping em camping, nos levaria a Istambul - para dar carga nova a nossos estômagos, àquela altura não menos sgonfiati. O que pode a fome, em especial na juventude: à beira de um himalaia de sofrível espaguete fumegante, julguei ver fumaças filosóficas na sentença do tosco borracheiro. E, entre garfadas, sob o olhar zombeteiro dos companheiros de viagem, me pus a teorizar.
Sim, camminando si sgonfia, e não apenas quando se é, nesta vida, um pneu. Também nós, de tanto rodar, vamos aos poucos desinflando. E por aí fui, inflado e inflamado num papo delirante. Fosse hoje, talvez tivesse dito, infelizmente com conhecimento de causa, que a partir de determinado ponto carecemos todos de alguma espécie de fortificante, de um novo alento para o corpo, quem sabe para a alma.
* Camminando si sgonfia = andando se esvazia. Sgonfiato é vazio; sgonfiati é a forma plural.
(Adaptado de: WERNECK, Humberto – Esse inferno vai acabar. Porto
Alegre, Arquipélago, 2011, p. 85-86)
Empregando-se o discurso direto, a frase deverá ser: O borracheiro explicou-nos:
Provas
Questão presente nas seguintes provas
Filosofia de borracharia
O borracheiro coçou a desmatada cabeça e proferiu a sentença tranquilizadora: nenhum problema com o nosso pneu, aliás quase tão calvo quanto ele. Estava apenas um bocado murcho.
- Camminando si sgonfia* - explicou o camarada, com um sorriso de pouquíssimos dentes e enorme simpatia.
O italiano vem a ser um dos muitos idiomas em que a minha abrangente ignorância é especializada, mas ainda assim compreendi que o pneu do nosso carro periclitante tinha se esvaziado ao longo da estrada. Não era para menos. Tendo saído de Paris, havíamos rodado muito antes de cair naquele emaranhado de fronteiras em que você corre o risco de não saber se está na Áustria, na Suíça ou na Itália. Soubemos que estávamos no norte, no sótão da Itália, vendo um providencial borracheiro dar nova carga a um pneu sgonfiato.
Dali saímos - éramos dois jovens casais num distante verão europeu, embarcados numa aventura que, de camping em camping, nos levaria a Istambul - para dar carga nova a nossos estômagos, àquela altura não menos sgonfiati. O que pode a fome, em especial na juventude: à beira de um himalaia de sofrível espaguete fumegante, julguei ver fumaças filosóficas na sentença do tosco borracheiro. E, entre garfadas, sob o olhar zombeteiro dos companheiros de viagem, me pus a teorizar.
Sim, camminando si sgonfia, e não apenas quando se é, nesta vida, um pneu. Também nós, de tanto rodar, vamos aos poucos desinflando. E por aí fui, inflado e inflamado num papo delirante. Fosse hoje, talvez tivesse dito, infelizmente com conhecimento de causa, que a partir de determinado ponto carecemos todos de alguma espécie de fortificante, de um novo alento para o corpo, quem sabe para a alma.
* Camminando si sgonfia = andando se esvazia. Sgonfiato é vazio; sgonfiati é a forma plural.
(Adaptado de: WERNECK, Humberto – Esse inferno vai acabar. Porto
Alegre, Arquipélago, 2011, p. 85-86)
Sem prejuízo para o sentido do contexto, pode-se substituir o elemento sublinhado no segmentoO borracheiro coçou a desmatada cabeça e proferiu a sentença tranquilizadora: nenhum problema com o nosso pneu, aliás quase tão calvo quanto ele. Estava apenas um bocado murcho.
- Camminando si sgonfia* - explicou o camarada, com um sorriso de pouquíssimos dentes e enorme simpatia.
O italiano vem a ser um dos muitos idiomas em que a minha abrangente ignorância é especializada, mas ainda assim compreendi que o pneu do nosso carro periclitante tinha se esvaziado ao longo da estrada. Não era para menos. Tendo saído de Paris, havíamos rodado muito antes de cair naquele emaranhado de fronteiras em que você corre o risco de não saber se está na Áustria, na Suíça ou na Itália. Soubemos que estávamos no norte, no sótão da Itália, vendo um providencial borracheiro dar nova carga a um pneu sgonfiato.
Dali saímos - éramos dois jovens casais num distante verão europeu, embarcados numa aventura que, de camping em camping, nos levaria a Istambul - para dar carga nova a nossos estômagos, àquela altura não menos sgonfiati. O que pode a fome, em especial na juventude: à beira de um himalaia de sofrível espaguete fumegante, julguei ver fumaças filosóficas na sentença do tosco borracheiro. E, entre garfadas, sob o olhar zombeteiro dos companheiros de viagem, me pus a teorizar.
Sim, camminando si sgonfia, e não apenas quando se é, nesta vida, um pneu. Também nós, de tanto rodar, vamos aos poucos desinflando. E por aí fui, inflado e inflamado num papo delirante. Fosse hoje, talvez tivesse dito, infelizmente com conhecimento de causa, que a partir de determinado ponto carecemos todos de alguma espécie de fortificante, de um novo alento para o corpo, quem sabe para a alma.
* Camminando si sgonfia = andando se esvazia. Sgonfiato é vazio; sgonfiati é a forma plural.
(Adaptado de: WERNECK, Humberto – Esse inferno vai acabar. Porto
Alegre, Arquipélago, 2011, p. 85-86)
Provas
Questão presente nas seguintes provas
Cadernos
Caderno Container