Foram encontradas 138 questões.
Determine a mediana das seguintes observações:
17, 12, 9, 23, 14, 6, 3, 18, 42, 25, 18, 12, 34, 5, 17, 20, 7, 8, 21, 13, 31, 24, 9.
17, 12, 9, 23, 14, 6, 3, 18, 42, 25, 18, 12, 34, 5, 17, 20, 7, 8, 21, 13, 31, 24, 9.
Provas
Questão presente nas seguintes provas
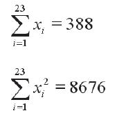
Considerando que as observações apresentadas na questão anterior constituem uma amostra aleatória simples X1, X2, ..., Xn de uma variável aleatória X, determine o valor mais próximo da variância amostral, usando um estimador não tendencioso da variância de X.
Considere que:

Considere que:

Provas
Questão presente nas seguintes provas
A e B são os lados de um retângulo I. Ao se aumentar o lado A em 20% e reduzir-se o lado B em 20% obtem-se o retângulo II. Se, ao invés disso, se aumentar o lado B em 20% e diminuir-se o lado A em 20%, tem-se o retângulo III. Pode-se afi rmar que:
Provas
Questão presente nas seguintes provas
O determinante de uma matriz 3X3 é igual a x. Se multiplicarmos os três elementos da 1a linha por 2 e os três elementos da 2a coluna por -1, o determinante será:
Provas
Questão presente nas seguintes provas
Considere que numa cidade 40% da população adulta é fumante, 40% dos adultos fumantes são mulheres e 60% dos adultos não-fumantes são mulheres. Qual a probabilidade de uma pessoa adulta da cidade escolhida ao acaso ser uma mulher?
Provas
Questão presente nas seguintes provas
- Lógica ProposicionalEquivalências Lógicas
- Lógica ProposicionalNegação de Proposições CompostasLeis de De Morgan
A negação de: Milão é a capital da Itália ou Paris é a capital da Inglaterra é:
Provas
Questão presente nas seguintes provas
Dados da Questão: 29 - Considere que numa cidade 40% da população adulta é fumante, 40% dos adultos fumantes são mulheres e 60% dos adultos não-fumantes são mulheres. Qual a probabilidade de uma pessoa adulta da cidade escolhida ao acaso ser uma mulher?
Considerando os dados da questão anterior, qual a porcentagem das mulheres adultas que são fumantes?
Considerando os dados da questão anterior, qual a porcentagem das mulheres adultas que são fumantes?
Provas
Questão presente nas seguintes provas
Assinale a opção verdadeira.
Provas
Questão presente nas seguintes provas
Num acampamento escolar com crianças que supostamente comem a mesma quantidade de comida por dia, havia comida suficiente para exatamente 60 dias. Passados 20 dias, chegaram inesperadamente mais vinte crianças que supostamente comiam a mesma quantidade de comida por dia que as que estavam acampadas e que ficaram 10 dias no local antes de seguirem viagem. Se, ao fim de 50 dias, a contar do início do acampamento, as crianças tiveram que ir embora porque a comida havia acabado, quantas eram elas?
Provas
Questão presente nas seguintes provas
Em uma cidade, às 15 horas, a sombra de um poste de 10 metros de altura mede 20 metros e, às 16 horas do mesmo dia, a sombra deste mesmo poste mede 25 m. Por interpolação e extrapolação lineares, calcule quanto mediria a sombra de um poste de 20 metros, na mesma cidade, às 15h30min do mesmo dia.
Provas
Questão presente nas seguintes provas
Cadernos
Caderno Container