Foram encontradas 1.784 questões.
– 5 – Com relação às medidas de dispersão, considerando que
representa a média aritmética de um conjunto de dados {X1, X2, ..., Xn}, julgue os itens que se seguem.
A função a seguir não é uma medida de dispersão válida.

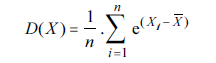
Provas
– 5 – Com relação às medidas de dispersão, considerando que
representa a média aritmética de um conjunto de dados {X1, X2, ..., Xn}, julgue os itens que se seguem.
A expressão que se segue permite calcular corretamente a variância amostral do conjunto de dados.

Provas
Considere o seguinte conjunto de dados composto por cinco elementos: {82,93; 94,54; 98,40; 115,41; 123,07}.
Com base nesses dados, julgue os itens subsequentes acerca das medidas de tendência central.
A média do conjunto de dados em questão é 102,87 e a mediana é 98,40. Se o valor 123,07 for alterado para 200, a média irá aumentar, mas a mediana continuará sendo 98,40.
Provas
Considere o seguinte conjunto de dados composto por cinco elementos: {82,93; 94,54; 98,40; 115,41; 123,07}.
Com base nesses dados, julgue os itens subsequentes acerca das medidas de tendência central.

Provas
Com relação a representações gráficas, julgue os itens de 63 a 67.
A partir do histograma mostrado na figura abaixo, é correto inferir que a distribuição da variável X é simétrica.

Provas
Com relação a representações gráficas, julgue os itens de 63 a 67.
O gráfico de setores, quando descreve a distribuição de uma variável quantitativa, pode ser usado para se obter uma estimativa da média amostral.
Provas
Com relação a representações gráficas, julgue os itens de 63 a 67.
Considerando-se que o boxplot mostrado na figura a seguir compara a distribuição dos salários de dois grupos da população, é correto afirmar que existem, necessariamente, diferenças entre as distribuições populacionais desses salários.

Provas
- FundamentosAnálise de Tabelas e GráficosGráfico de Linhas
- Estatística DescritivaMedidas de Tendência CentralMédias
Com relação a representações gráficas, julgue os itens de 63 a 67.
O gráfico de perfil de médias mostrado na figura abaixo sugere uma interação entre os grupos A e B na amostra em questão.

Provas
Com relação a representações gráficas, julgue os itens de 63 a 67.
Um histograma é um gráfico que representa a dispersão tanto de variáveis discretas quanto de contínuas.
Provas
Acerca dos conceitos d3e estatística e dos parâmetros estatísticos, julgue os itens seguintes.
A estatística descritiva permite testar hipóteses a respeito da população de interesse.
Provas
Caderno Container