Magna Concursos

Foram encontradas 395 questões.

334913 Ano: 2009
Disciplina: Estatística
Banca: CESPE / CEBRASPE
Orgão: TCE-RN

Acerca do conjunto de valores { 5, 3, 0, 4, 6, 8, 2, 5, 3, 3, 1, 2}, é correto afirmar que

a variância amostral é igual a 5.

 

Provas

Questão presente nas seguintes provas
334911 Ano: 2009
Disciplina: Estatística
Banca: CESPE / CEBRASPE
Orgão: TCE-RN

Em um estudo estatístico censitário, foi considerado um indicador X que assume os três seguintes valores possíveis: –1, 0 ou 1. A média e a variância populacionais desse indicador X são, respectivamente, Enunciado 334911-1Nesse caso, é correto afirmar que

a frequência relativa dos casos em que o indicador assume o valor zero foi inferior a 0,01.

 

Provas

Questão presente nas seguintes provas
334905 Ano: 2009
Disciplina: Matemática Financeira
Banca: CESPE / CEBRASPE
Orgão: TCE-RN

Julgue os itens a seguir a respeito de matemática financeira.

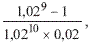
Considere o seguinte fluxo de valores: a) no momento zero, desembolso no valor de R$ 1.000,00; b) no momento um, despesa no valor de R$ 2.000,00; c) do momento dois ao momento dez, nove receitas de valores iguais a R$ 500,00. Considerando que o intervalo de tempo decorrido entre momentos consecutivos é o mês, que a taxa de juros compostos é de 2% ao mês, que se convencionou despesa negativa e receita positiva, e que 8 é valor aproximado para , então a soma dos valores atuais das quantias Enunciado 334905-1 no momento zero é inferior a R$ 1.100,00.

 

Provas

Questão presente nas seguintes provas
334904 Ano: 2009
Disciplina: Matemática Financeira
Banca: CESPE / CEBRASPE
Orgão: TCE-RN

Julgue os itens a seguir a respeito de matemática financeira.

Considerando 1,26 e 1,19 como valores aproximados de Enunciado 334904-1respectivamente, é correto afirmar que o valor de resgate de um título de R$ 20.500,00, vencível daqui a 9 meses, à taxa efetiva de desconto racional composto de 26% a.a., capitalizados trimestralmente, é superior a R$ 17.250,00.

 

Provas

Questão presente nas seguintes provas
334903 Ano: 2009
Disciplina: Matemática
Banca: CESPE / CEBRASPE
Orgão: TCE-RN

Julgue os itens a seguir a respeito de matemática financeira.

Se o preço original de um produto sofrer reajustes sucessivos de 15% e de 20%, então o percentual de aumento no preço desse produto em relação ao preço original será de 38%.

 

Provas

Questão presente nas seguintes provas
334902 Ano: 2009
Disciplina: Matemática Financeira
Banca: CESPE / CEBRASPE
Orgão: TCE-RN

Julgue os itens a seguir a respeito de matemática financeira.

Se o capital de R$ 5.500,00 for aplicado por 6 meses em uma instituição financeira, que remunera no regime de juros simples à taxa de 1,5% ao mês, então o montante dessa aplicação será superior a R$ 5.900,00.

 

Provas

Questão presente nas seguintes provas
334901 Ano: 2009
Disciplina: Matemática Financeira
Banca: CESPE / CEBRASPE
Orgão: TCE-RN

Julgue os itens a seguir a respeito de matemática financeira.

Para ser utilizada pelo período de dois anos, um escritório pesquisa a aquisição de uma impressora multifuncional, alugando-a ou comprando-a. Independentemente da forma de aquisição, as despesas com a manutenção dessa impressora são de R$ 100,00 por mês no primeiro ano e de R$ 150,00 por mês, no segundo ano. O escritório dispõe das seguintes opções:

I Alugá-la por R$ 480,00 ao mês. Nesse caso, o locador se responsabiliza pelas despesas de manutenção;

II Comprá-la por R$ 8.000,00. Sabendo que a vida útil da impressora é de dois anos, o escritório poderia vendê-la por R$ 1.000,00 após esses dois anos de uso.

Se a taxa de juros compostos do mercado é de 1% ao mês, então, considerando 0,89 e 0,79 como valores aproximados de Enunciado 334901-1respectivamente, é correto afirmar que a opção I é a mais vantajosa para o escritório.

 

Provas

Questão presente nas seguintes provas
334899 Ano: 2009
Disciplina: Legislação dos Tribunais de Contas
Banca: CESPE / CEBRASPE
Orgão: TCE-RN

Em relação ao controle da legalidade de aposentadoria, reformas e pensões pelos TCs, julgue os itens subsequentes.

Nos processos perante TCs, asseguram-se o contraditório e a ampla defesa quando da decisão puder resultar anulação ou revogação de ato administrativo que beneficie o interessado, inclusive a apreciação da legalidade do ato de concessão inicial de aposentadoria, reforma e pensão.

 

Provas

Questão presente nas seguintes provas
334897 Ano: 2009
Disciplina: Legislação Estadual e Distrital
Banca: CESPE / CEBRASPE
Orgão: TCE-RN
Provas:

Julgue os itens seguintes, relativos ao RPPS/RN — Lei Complementar n.º 308/2005.

São beneficiários do RPPS/RN, na qualidade de dependentes do segurado, entre outros, o cônjuge, a companheira, o companheiro, inclusive do mesmo sexo, e o filho não emancipado, menor de vinte e um anos ou inválido de qualquer idade.

 

Provas

Questão presente nas seguintes provas
334896 Ano: 2009
Disciplina: Legislação Estadual e Distrital
Banca: CESPE / CEBRASPE
Orgão: TCE-RN
Provas:

Julgue os itens seguintes, relativos ao RPPS/RN — Lei Complementar n.º 308/2005.

São segurados do RPPS/RN, entre outros, o servidor público ocupante, exclusivamente, de cargo público de provimento em comissão, declarado em lei de livre nomeação e exoneração, bem como de outro cargo temporário ou emprego público, ainda que aposentado.

 

Provas

Questão presente nas seguintes provas