Foram encontradas 120 questões.
Disciplina: Segurança e Saúde no Trabalho (SST)
Banca: CESPE / CEBRASPE
Orgão: TELEBRAS
Considere a situação a seguir.
Um instrutor informou, durante uma capacitação, que medidas de proteção coletiva compreendem, prioritariamente, a desenergização da instalação elétrica. Nesse momento, um dos empregados alerta que evitar a desenergização das instalações elétricas faz parte da política da empresa, exceto quando as interrupções de energia duram, no máximo, 30 minutos e são efetuadas durante a madrugada.
Nessa situação, sendo confirmada a informação do empregado, a medida adequada a ser adotada, visando assegurar a segurança dos profissionais envolvidos, é restringir todos os serviços de manutenção nas instalações elétricas da empresa para o período da madrugada.
Provas
Disciplina: Segurança e Saúde no Trabalho (SST)
Banca: CESPE / CEBRASPE
Orgão: TELEBRAS
Determinada empresa, visando ampliar o seu quadro técnico, investiu na contratação de novos profissionais para serviços em instalações elétricas e em eletricidade de suas dependências. Com a finalidade de capacitar esses profissionais, a empresa ofereceu curso sobre medidas de proteção coletiva e individual em trabalhos com instalações elétricas e com eletricidade. Considerando a situação hipotética descrita, julgue o item a seguir.
A capacitação terá validade legal apenas dentro da empresa que ministrou o treinamento. Caso o empregado seja transferido para outra empresa, ele deverá ser submetido a um novo curso de capacitação para essa nova empresa.
Provas
Disciplina: TI - Organização e Arquitetura dos Computadores
Banca: CESPE / CEBRASPE
Orgão: TELEBRAS
Com relação a microcomputadores, julgue o item abaixo.
O acesso à memória no disco rígido, denominada memória cache, é, em geral, mais rápido que o acesso à memória principal do microcomputador, pois a memória principal é um tipo de memória dinâmica e a memória do disco rígido, um tipo de memória estática semicondutora de alta velocidade.
Provas


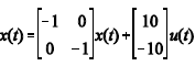
y(t) = [-1 1] x(t)
Provas

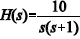
O diagrama de blocos acima representa a modelagem de uma planta controlada por um controlador do tipo proporcional que apresenta como entrada um sinal de erro obtido a partir da diferença entre o sinal de entrada U(s) e a saída Y(s). A partir dessas informações, julgue o item.
Caso K assuma valor estritamente negativo, o sistema será instável.
Provas

O diagrama de blocos acima representa a modelagem de uma planta controlada por um controlador do tipo proporcional que apresenta como entrada um sinal de erro obtido a partir da diferença entre o sinal de entrada U(s) e a saída Y(s). A partir dessas informações, julgue o item.
Esse sistema, para qualquer valor de K não nulo, nunca terá zero finito.
Provas

Na situação em que K = 0,1, o sistema será subamortecido.
Provas
A função de transferência (FT) de um sistema contínuo com resposta impulsional h(t) é dada por
, em que s é uma variável complexa utilizada na definição da transformada de Laplace. A FT do sistema amostrado com período de amostragem T é obtida efetuando-se a transformação do plano s no plano z por meio da expressão z = esT. A transformação efetuada permite a obtenção da transformada z do sistema. Com base nessas informações, julgue o item a seguir.
Se for submetido a uma excitação de entrada do tipo degrau unitário, o sistema em questão não apresentará resposta finita em regime permanente.
Provas
A função de transferência (FT) de um sistema contínuo com resposta impulsional h(t) é dada por
, em que s é uma variável complexa utilizada na definição da transformada de Laplace. A FT do sistema amostrado com período de amostragem T é obtida efetuando-se a transformação do plano s no plano z por meio da expressão z = esT. A transformação efetuada permite a obtenção da transformada z do sistema. Com base nessas informações, julgue o item a seguir.
No plano z, há, nesse sistema, um polo simples em z = 1.
Provas
A função de transferência (FT) de um sistema contínuo com
resposta impulsional h(t) é dada por
, em que s é uma
variável complexa utilizada na definição da transformada de
Laplace. A FT do sistema amostrado com período de amostragem
T é obtida efetuando-se a transformação do plano s no plano z por
meio da expressão z = esT. A transformação efetuada permite a
obtenção da transformada z do sistema. Com base nessas
informações, julgue o item a seguir.
Considere que, no gráfico a seguir, a escala do eixo horizontal representa a frequência ω variando de 0,1 rad/s a 10 rad/s, em escala logarítmica em base decimal. Nesse caso, o gráfico ilustra as assíntotas da magnitude da FT do diagrama de Bode relativo ao sistema contínuo.

Provas
Caderno Container