Foram encontradas 1.555 questões.
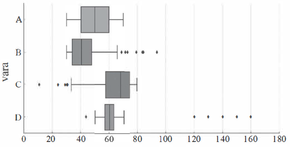
Em um estudo estatístico sobre o tempo médio de tramitação de processos judiciais em quatro varas cíveis de certo tribunal, considerou-se uma base de dados referentes ao tempo (em dias) de tramitação de 1.200 processos. A amostra foi estratificada por vara, e os dados foram tratados e analisados por meio de gráficos, tabelas e medidas descritivas, com o objetivo de identificar padrões, desvios e oportunidades de melhoria na gestão processual. A seguir, são apresentados diagramas boxplots elaborados para cada vara, bem como as medidas de tendência central, dispersão e curtose.

tempo de tramitação (dias)
| medida | vara A | vara B | vara C | vara D |
|---|---|---|---|---|
| média | 50 | 44 | 64 | 64 |
| mediana | 50 | 40,5 | 68 | 60 |
| desvio padrão | 12 | 13,5 | 14,5 | 18,5 |
| curtose | -1,2 | 2,0 | 1,7 | 16,0 |
Com base nessas informações, julgue os próximos itens.
A curtose negativa observada na vara A indica que a distribuição dos tempos de tramitação nessa vara é menos achatada do que uma distribuição normal, apresentando maior concentração em torno da média.
Provas
Julgue os itens a seguir, relativos ao funcionamento de motores elétricos, bem como à configuração de quadros de comando, controle e proteção.
Inversores de frequência, por controlarem a corrente elétrica por meio de um software, dispensam disjuntores.
Provas
Acerca de análise econômico-financeira, julgue os próximos itens.
Considere que a participação de capitais de terceiros no financiamento do ativo total de uma entidade seja dada pelo índice de dependência financeira e que, em dado momento, a entidade possua 0,60 de dependência financeira e um ativo de R$ 1,0 milhão. Nessas condições, o volume de recursos próprios utilizados no financiamento do ativo é de R$ 500 mil.
Provas
Julgue os itens seguintes, relativos à administração direta, aos atos administrativos e às licenças dos servidores públicos federais.
A finalidade é um requisito necessário à formação do ato administrativo, e se refere ao poder legal atribuído ao agente público para praticar o referido ato.
Provas
Julgue os itens seguintes, relativos à administração direta, aos atos administrativos e às licenças dos servidores públicos federais.
Na administração direta, os serviços públicos são prestados por órgãos que compõem a estrutura do Estado, sem a criação de nova personalidade jurídica, a exemplo do STF em nível federal, e dos tribunais de justiça em nível estadual.
Provas
No que se refere a investimentos em coligadas e controladas, julgue os itens subsequentes.
O método da equivalência patrimonial pressupõe o reconhecimento inicial de um investimento em coligada pelo seu custo, sendo este valor aumentado ou diminuído posteriormente, de acordo com os resultados da coligada.
Provas
Julgue os próximos itens, com base nos princípios de gestão eficaz da manutenção.
A manutenibilidade pode ser compreendida como a capacidade de um equipamento ser restaurado a condições operacionais de forma rápida e eficiente após uma falha.
Provas
No que se refere a investimentos em coligadas e controladas, julgue os itens subsequentes.
A influência significativa evidencia-se pela ocorrência de controle individual ou conjunto de uma entidade.
Provas
No que se refere a investimentos em coligadas e controladas, julgue os itens subsequentes.
Um investidor que exerce influência significativa sobre determinadas decisões de uma empresa a tem como sua coligada.
Provas
No que se refere à gestão de pessoas, julgue os itens a seguir.
Uma das principais vantagens da entrevista como técnica de seleção de pessoas é permitir uma avaliação do comportamento e das reações do candidato.
Provas
Caderno Container