Foram encontradas 409 questões.
Para José Bleger (2007), a entrevista psicológica é:
Provas
Questão presente nas seguintes provas
2486513
Ano: 2014
Disciplina: Direito da Criança e do Adolescente
Banca: ESMARN
Orgão: TJ-RN
Disciplina: Direito da Criança e do Adolescente
Banca: ESMARN
Orgão: TJ-RN
Provas:
De acordo com o Estatuto da Criança e do Adolescente – ECA/1990, do Título I das disposições preliminares - em seu Art. 6o; na interpretação desta Lei, levar-se-ão em conta os fins sociais a que ela se dirige:
Provas
Questão presente nas seguintes provas
A Norma Brasileira NBR 6028, que trata de resumo, orienta que na sua apresentação devem figurar, logo abaixo (do resumo), palavras que representem o conteúdo do texto. Marque a alternativa com a forma e sinalização correta de apresentação:
Provas
Questão presente nas seguintes provas
- PODC: Processo OrganizacionalProcesso Administrativo: OrganizaçãoEstrutura OrganizacionalEstruturas de Mintzberg
As competências importantes para o desempenho de tarefas gerenciais agrupam-se em quatro categorias principais: 1. Competência Intrapessoal; 2. Competência Intelectual; 3. Competência Interpessoal; e 4. Competência Técnica. Associe cada uma das quatro competências gerenciais a seus respectivos conceitos apresentados em seguida:
( ) Usada para elaborar conceito, fazer análises, planejar, definir estratégias e tomar decisões.
( ) Utilizada para liderar a equipe, trabalhar com colegas, superiores e clientes.
( ) Abrange os conhecimentos sobre a atividade específica do gerente.
( ) Todas as relações e formas de reflexão e ação da pessoa a respeito dela própria.
A ordem de associação correta é:
Provas
Questão presente nas seguintes provas
No que concerne à Lei nº 9.099/95 dos Juizados Especiais Cíveis, é incorreto afirmar:
Provas
Questão presente nas seguintes provas
A área de Ciência da Informação tem dificuldade para isolar e descrever seu objeto de pesquisa. Qual é esse objeto?
Provas
Questão presente nas seguintes provas
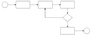
Dentre as fases da gestão de processos, existe uma responsável pelo desenho dos processos que tem como objetivo principal o alinhamento dos processos da empresa com as necessidades e exigências do mercado. O gráfico utilizado para o desenho de processos é denominado:

Provas
Questão presente nas seguintes provas
No contexto das novas mídias, o “cross media” aponta para o desenvolvimento de uma estratégia comunicacional no sentido de:
Provas
Questão presente nas seguintes provas
Texto opinativo, com defesa de pontos de vista da organização, em atendimento a demandas específicas dos meios de comunicação ou quando for de conveniência da direção, diante de circunstâncias e questões que mereçam esclarecimentos e posicionamento oficial da instituição:
Provas
Questão presente nas seguintes provas
Fávero (2005), em seus estudos na área sociojurídica, afirma que, na construção do Estudo Social, o assistente social utiliza os instrumentos, técnicas e procedimentos seguintes:
Provas
Questão presente nas seguintes provas
Cadernos
Caderno Container