Foram encontradas 70 questões.
A figura abaixo apresenta o trecho de um tubo horizontal de diâmetro D por onde escoa água em regime laminar.

Se a linha de energia forma com a horizontal um ângulo a, qual o valor, em litros por segundo, da vazão?
Dados:
ν = 10−6 m2 /s
D = 2 cm
g = 10 m/s2
tg α = 0,004

Se a linha de energia forma com a horizontal um ângulo a, qual o valor, em litros por segundo, da vazão?
Dados:
ν = 10−6 m2 /s
D = 2 cm
g = 10 m/s2
tg α = 0,004
Provas
Questão presente nas seguintes provas
A área sob a curva de um espectro de mar é dada pelo momento espectral de ordem zero
= 0,09 m2 . Nesse contexto, qual o valor, em metros, da amplitude significativa (A1/3) ?
Provas
Questão presente nas seguintes provas
A tabela abaixo apresenta o registro das medições das alturas de ondas do mar para 120 ciclos.

Um parâmetro importante para a descrição de um determinado estado de mar é a altura significativa de ondas (H 1/3) que, nesse caso, será, em metros, igual a

Um parâmetro importante para a descrição de um determinado estado de mar é a altura significativa de ondas (H 1/3) que, nesse caso, será, em metros, igual a
Provas
Questão presente nas seguintes provas
Um reservatório de grandes dimensões tem um orifício de pequeno diâmetro na sua lateral, 5 metros abaixo do nível da água, conforme apresentado na figura abaixo.

Considerando as hipóteses para a aplicação da equação de Bernoulli, qual a velocidade da água, em m/s, através desse orifício?
Dado: aceleração da gravidade g = 10 m/s2

Considerando as hipóteses para a aplicação da equação de Bernoulli, qual a velocidade da água, em m/s, através desse orifício?
Dado: aceleração da gravidade g = 10 m/s2
Provas
Questão presente nas seguintes provas
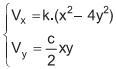
Um campo de velocidade bidimensional é dado por:

Qual o valor da razão entre as constantes k e c (k/c) para que o escoamento satisfaça a equação da continuidade para escoamento incompressível?

Qual o valor da razão entre as constantes k e c (k/c) para que o escoamento satisfaça a equação da continuidade para escoamento incompressível?
Provas
Questão presente nas seguintes provas

Um gás escoa em regime permanente através de um trecho de tubo convergente, conforme mostrado na figura acima. Na seção A, os valores da área da seção transversal do tubo, a massa específica do gás e a velocidade do gás são, respectivamente, iguais a 50 cm 2 , 6 kg/m3 e 20 m/s.
Na seção B, os valores da área da seção transversal do tubo e a massa específica do gás são, respectivamente, iguais a 25 cm 2 e 20 kg/m3 .
Qual o valor, em m/s, da velocidade do gás na seção transversal B?
Provas
Questão presente nas seguintes provas
A figura apresenta uma comporta AB com 2 metros de
largura e 3 metros de altura, que separa dois tanques
de seções retangulares. O tanque à esquerda contém água(γÁGUA = 10 kN/m3 ) , e o da esquerda, óleo(γÓLEO = 8 kN/m3 ).

Considere que a comporta pode girar em torno de A. Qual o módulo da força, em kN, a ser aplicada em B a fim de manter a comporta na vertical?largura e 3 metros de altura, que separa dois tanques
de seções retangulares. O tanque à esquerda contém água(γÁGUA = 10 kN/m3 ) , e o da esquerda, óleo(γÓLEO = 8 kN/m3 ).

Provas
Questão presente nas seguintes provas
A figura apresenta uma comporta AB com 2 metros de
largura e 3 metros de altura, que separa dois tanques
de seções retangulares. O tanque à esquerda contém água(γÁGUA = 10 kN/m3 ) , e o da esquerda, óleo(γÓLEO = 8 kN/m3 ).

Se a comporta está fixa em suas extremidades A e B, qual o módulo da força, em kN, exercida pela água na comporta?largura e 3 metros de altura, que separa dois tanques
de seções retangulares. O tanque à esquerda contém água(γÁGUA = 10 kN/m3 ) , e o da esquerda, óleo(γÓLEO = 8 kN/m3 ).

Provas
Questão presente nas seguintes provas
Considere a viga biapoiada sujeita apenas às forças P e P/2, indicadas na figura abaixo.

O diagrama de momentos fletores atuantes na viga possui a forma

O diagrama de momentos fletores atuantes na viga possui a forma
Provas
Questão presente nas seguintes provas
A tabela apresenta o cálculo das propriedades de área da seção mestra de uma embarcação.

Sabendo-se que o pontal da embarcação mede 5 metros, qual o valor, aproximado, do módulo de resistência (Z), em m3 , no convés da embarcação?
Provas
Questão presente nas seguintes provas
Cadernos
Caderno Container