Foram encontradas 70 questões.
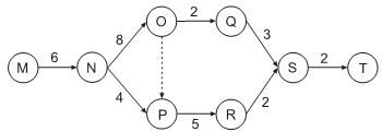
A figura representa a rede de um projeto no qual a duração das atividades está cotada em dias.

O caminho crítico e a sua duração são, respectivamente,
Provas
Questão presente nas seguintes provas
A figura representa a rede de um projeto no qual a duração das atividades está cotada em dias.

Fundamentado no Método do Caminho Crítico (CPM) e tomando-se como base que o evento M sucede no momento zero, tem-se que o tempo mais
Provas
Questão presente nas seguintes provas
No desenho de arranjo geral de um navio, encontram-se algumas informações importantes em relação às suas características,
EXCETO a indicação da(s)
Provas
Questão presente nas seguintes provas
O conceito de velocidade de grupo, no estudo de ondas do mar, permite mostrar que é com essa velocidade que a energia de ondas se propaga. A partir da relação de dispersão de ondas de gravidade, pode-se determinar que, para ondas se propagando em grandes profundidades, a razão entre a velocidade com que o grupo de ondas se propaga e a velocidade de fase das ondas que o compõem vale
Provas
Questão presente nas seguintes provas
O equipamento de convés constituído por um ou dois tambores ligados a um eixo horizontal comandado por motor elétrico e cuja finalidade é alar uma espia ou suspender a amarra, fazendo, nesse caso, parte do aparelho de suspender, é denominado
Provas
Questão presente nas seguintes provas
Analise as afirmações a seguir, que se referem ao Teste de Inclinação de uma embarcação.
I - O Teste de Inclinação baseia-se na movimentação de um peso conhecido numa distância previamente estabelecida que provocará, na embarcação, uma inclinação longitudinal a ser medida durante o teste.
II - O Teste de Inclinação é um procedimento para se obter, experimentalmente, o GM inicial e, conhecido o valor do KMT através das curvas hidrostáticas, determinar o KG da embarcação na condição leve.
III - O Teste de Inclinação realiza-se com a embarcação em condição de ?utuação onde não haja nenhum tipo de ação externa que a impeça de se inclinar livremente, tais como ventos fortes e cabos de amarração tesados.
Está correto o que se afirma em
I - O Teste de Inclinação baseia-se na movimentação de um peso conhecido numa distância previamente estabelecida que provocará, na embarcação, uma inclinação longitudinal a ser medida durante o teste.
II - O Teste de Inclinação é um procedimento para se obter, experimentalmente, o GM inicial e, conhecido o valor do KMT através das curvas hidrostáticas, determinar o KG da embarcação na condição leve.
III - O Teste de Inclinação realiza-se com a embarcação em condição de ?utuação onde não haja nenhum tipo de ação externa que a impeça de se inclinar livremente, tais como ventos fortes e cabos de amarração tesados.
Está correto o que se afirma em
Provas
Questão presente nas seguintes provas
O deslocamento em água salgada (? = 1,025 t/m3 ) de uma embarcação, obtido através de suas curvas hidrostáticas, utilizando-se como dado de entrada o calado correspondente, vale 8.200 toneladas. Com um densímetro, observa-se que a densidade real da água, onde flutua a embarcação, é 1,020 t/m3 . Qual é, em toneladas, o deslocamento real da embarcação?
Provas
Questão presente nas seguintes provas
Em um ponto na superfície de uma estrutura de aço (E = 210 GPa e ν = 0,30), sujeita a um estado biaxial de tensões, as deformações específicas medidas foram εx
= 1.515 μm/m e ε
y
= − 500 μm/m.
Nesse ponto, qual o valor, em MPa, da componente de tensão normal (σx) ?
Nesse ponto, qual o valor, em MPa, da componente de tensão normal (σx) ?
Provas
Questão presente nas seguintes provas
Do ponto de vista da resistência primária da estrutura de um navio, observa-se que as situações de alquebramento e tosamento modificam a distribuição das forças ao longo do seu casco. Nesse sentido, a situação de
Provas
Questão presente nas seguintes provas
As tensões principais σP1 e σP2 atuantes em um ponto da superfície de um elemento estrutural submetido a um estado plano de tensões são, respectivamente, iguais a 100 MPa e 50 MPa.
Se o limite de escoamento do material é 250 MPa, qual o valor do fator de segurança em relação à falha estrutural por escoamento, de acordo com o critério de resistência da máxima energia de distorção (Von Mises)?
Se o limite de escoamento do material é 250 MPa, qual o valor do fator de segurança em relação à falha estrutural por escoamento, de acordo com o critério de resistência da máxima energia de distorção (Von Mises)?
Provas
Questão presente nas seguintes provas
Cadernos
Caderno Container