Foram encontradas 70 questões.
Durante o ensaio de um motor de combustão interna, a média das temperaturas máximas de combustão e a média das temperaturas máximas de escape registradas são, respectivamente, 2.100°C e 750°C.
O valor máximo da eficiência térmica, em porcentagem, de tal motor não ultrapassa
Provas
Considere o enunciado a seguir para responder à questão .
O sistema de transmissão mostrado na Figura abaixo é constituído de dois pares de engrenagens e um eixo. As engrenagens 1 e 3 possuem raios idênticos de 8 cm, e as engrenagens 2 e 4 possuem raios idênticos de 12 cm.

Provas
A Figura abaixo representa o diagrama de variação de pressão por variação de volume do ciclo padrão-ar de Otto.

Os ciclos padrão-ar e real de Otto apresentam diferenças, que fazem com que o valor da potência de um motor, quando calculado usando o ciclo ideal, seja maior. Os eventos que ocorrem no motor real são aproximados no ciclo padrão-ar, mas há um evento que é suprimido do ciclo real.
Esse evento suprimido no ciclo real de Otto é o
Provas
O estoque de uma companhia possuía resinas termofixas e termoplásticas. Um estagiário precisava apanhar os recipientes das duas únicas resinas termofixas que estavam nesse estoque.
Os recipientes escolhidos foram de
Provas
A Figura abaixo ilustra a distribuição de temperatura em um trocador de calor no qual o fluido quente possui uma taxa de capacidade calorífica, Cq , muito maior do que a do fluido frio, dada por Cf . Essa é uma condição especial conhecida, na qual um trocador de calor pode ser operado. Nessa condição, a temperatura do fluido quente permanece aproximadamente constante ao longo do trocador, enquanto a temperatura do fluido frio aumenta.

Provas
A Figura abaixo apresenta o diagrama de equilíbrio de fases Fe-C.

Uma liga binária de Fe com 1,5% massa de C é aquecida num forno a 750°C.
Que fases estão presentes nessa temperatura?
Provas
Um sistema mecânico com dois graus de liberdade, sujeito a vibrações, possui duas frequências naturais e dois modos de vibração.
Cada modo de vibrar representa a forma do movimento do sistema em vibração
Provas
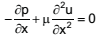
A equação de Navier Stokes para um escoamento na direção x do sistema cartesiano é dada por:
![]()
sendo u, v e w as componentes de velocidade nas direções x, y e z respectivamente; ρ a massa específica, μ a viscosidade dinâmica, gx a componente da gravidade na direção x e p a pressão. Considere um escoamento na direção x como sendo viscoso, incompressível, laminar e plenamente desenvolvido entre duas placas paralelas horizontais imóveis e separadas por uma distância vertical b na direção y.
A equação de Navier Stokes, simplificada, em que os termos que não contribuem para o problema em questão se tornam nulos é:
Provas
O ciclo ideal usado para modelar a turbina a gás é o ciclo Brayton. A turbina a gás pode operar em um ciclo aberto ou em um ciclo fechado.
Uma diferença entre o ciclo aberto e o fechado é que nesse último, há a presença de um componente adicional, ou seja, de um(a)
Provas
Dois tanques de grandes dimensões, abertos para a atmosfera, contendo óleo com massa específica de 1000 kg/m3 e viscosidade dinâmica de 0,4 N . s/m2 , são interligados por uma tubulação horizontal com comprimento de 10 m e diâmetro de 100 mm.
A diferença máxima de elevação, em metros, entre as superfícies livres de óleo, para manter o escoamento laminar com número de Reynolds de 1000, é
Dado
g = 10 m/s2
Provas
Caderno Container