Foram encontradas 899 questões.

O modelo matemático de um sistema linear e invariante no tempo tem a representação em espaço de estados descrito pelas equações acima. Considerando essas informações e assumindo condições iniciais nulas, julgue o item que se segue.
O sistema pode ser representado corretamente na forma de um diagrama de blocos, conforme figura abaixo, no qual U(s) e Y(s) são sinais de entrada e saída, respectivamente, correspondentes à transformada de Laplace de u(t) e y(t).
O sistema pode ser representado corretamente na forma de um diagrama de blocos, conforme figura abaixo, no qual U(s) e Y(s) são sinais de entrada e saída, respectivamente, correspondentes à transformada de Laplace de u(t) e y(t).

Provas
Questão presente nas seguintes provas

O modelo matemático de um sistema linear e invariante no tempo tem a representação em espaço de estados descrito pelas equações acima. Considerando essas informações e assumindo condições iniciais nulas, julgue o item que se segue.
Em regime permanente, a resposta desse sistema a uma entrada em degrau é igual a zero.
Em regime permanente, a resposta desse sistema a uma entrada em degrau é igual a zero.
Provas
Questão presente nas seguintes provas

O modelo matemático de um sistema linear e invariante no tempo tem a representação em espaço de estados descrito pelas equações acima. Considerando essas informações e assumindo condições iniciais nulas, julgue o item que se segue.
O sistema é de fase não mínima.
O sistema é de fase não mínima.
Provas
Questão presente nas seguintes provas

O modelo matemático de um sistema linear e invariante no tempo tem a representação em espaço de estados descrito pelas equações acima. Considerando essas informações e assumindo condições iniciais nulas, julgue o item que se segue.
A função de transferência desse sistema tem polos complexos conjugados !$ - {1 over 2} pm {{j} 1 over 2}, !$ em que !$ j = sqrt {-1}. !$
A função de transferência desse sistema tem polos complexos conjugados !$ - {1 over 2} pm {{j} 1 over 2}, !$ em que !$ j = sqrt {-1}. !$
Provas
Questão presente nas seguintes provas
Uma onda eletromagnética plana e uniforme propaga-se em um meio hipotético, cujas coordenadas são definidas com base em um sistema tridimensional cartesiano !$ x !$, !$ y !$, !$ z !$. Assume-se que !$ hat {x} !$, !$ hat {y} !$ e !$ hat {z} !$ são vetores ortonormais que indicam a orientação dos eixos do sistema de coordenadas. O vetor campo elétrico nesse meio é definido como !$ overline {E} = 4e ^{az}sen (2 pi imes 10^8 t - eta z) hat {y} !$ V/m. O meio é caracterizado por permissividade relativa !$ varepsilon_r = 2 !$, permeabilidade magnética relativa !$ mu_r !$ !$ =4 !$ e condutividade !$ sigma = 10 !$ S/m. Considere que a permissividade dielétrica no espaço livre seja !$ varepsilon_0 = {10^{-9} over 36 pi} !$ F/m, a permeabilidade magnética, !$ mu_0 = 4 pi imes 10^{-7} !$ H/m e a velocidade da luz !$ c = 10^8 !$ m/s. A partir dessas informações, julgue o item que se segue.
Na frequência em que se propaga a onda eletromagnética, é correto concluir que o meio de propagação é um bom condutor.
Na frequência em que se propaga a onda eletromagnética, é correto concluir que o meio de propagação é um bom condutor.
Provas
Questão presente nas seguintes provas
Uma onda eletromagnética plana e uniforme propaga-se em um meio hipotético, cujas coordenadas são definidas com base em um sistema tridimensional cartesiano !$ x !$, !$ y !$, !$ z !$. Assume-se que !$ hat {x} !$, !$ hat {y} !$ e !$ hat {z} !$ são vetores ortonormais que indicam a orientação dos eixos do sistema de coordenadas. O vetor campo elétrico nesse meio é definido como !$ overline {E} = 4e ^{az}sen (2 pi imes 10^8 t - eta z) hat {y} !$ V/m. O meio é caracterizado por permissividade relativa !$ varepsilon_r = 2 !$, permeabilidade magnética relativa !$ mu_r !$ !$ =4 !$ e condutividade !$ sigma = 10 !$ S/m. Considere que a permissividade dielétrica no espaço livre seja !$ varepsilon_0 = {10^{-9} over 36 pi} !$ F/m, a permeabilidade magnética, !$ mu_0 = 4 pi imes 10^{-7} !$ H/m e a velocidade da luz !$ c = 10^8 !$ m/s. A partir dessas informações, julgue o item que se segue.
A velocidade de propagação da onda no meio é igual a 50% da velocidade da luz.
A velocidade de propagação da onda no meio é igual a 50% da velocidade da luz.
Provas
Questão presente nas seguintes provas

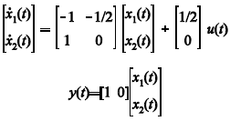
A figura acima ilustra a vista frontal de um eletroímã construído com material ferromagnético. O dispositivo apresenta três entreferros de largura g, que são justamente as separações entre as partes fixa e móvel do eletroímã. Na parte central da peça fixa, é inserida uma bobina N com 100 espiras. A bobina é excitada com uma corrente constante igual a 0,5 A. Tendo como base essas informações, julgue o item a seguir.
O fluxo magnético no ponto Y é necessariamente superior aos fluxos magnético nos pontos X e Z.
O fluxo magnético no ponto Y é necessariamente superior aos fluxos magnético nos pontos X e Z.
Provas
Questão presente nas seguintes provas

A figura acima ilustra a vista frontal de um eletroímã construído com material ferromagnético. O dispositivo apresenta três entreferros de largura g, que são justamente as separações entre as partes fixa e móvel do eletroímã. Na parte central da peça fixa, é inserida uma bobina N com 100 espiras. A bobina é excitada com uma corrente constante igual a 0,5 A. Tendo como base essas informações, julgue o item a seguir.
A força magnetomotriz produzida pela bobina é igual a 100 A . espiras.
A força magnetomotriz produzida pela bobina é igual a 100 A . espiras.
Provas
Questão presente nas seguintes provas

A figura acima ilustra a vista frontal de um eletroímã construído com material ferromagnético. O dispositivo apresenta três entreferros de largura g, que são justamente as separações entre as partes fixa e móvel do eletroímã. Na parte central da peça fixa, é inserida uma bobina N com 100 espiras. A bobina é excitada com uma corrente constante igual a 0,5 A. Tendo como base essas informações, julgue o item a seguir.
A força eletromagnética F que surge no eletroímã age no sentido de estreitar os entreferros, pois ela é uma força de atração que atua entre a parte fixa e a móvel do dispositivo.
A força eletromagnética F que surge no eletroímã age no sentido de estreitar os entreferros, pois ela é uma força de atração que atua entre a parte fixa e a móvel do dispositivo.
Provas
Questão presente nas seguintes provas

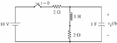
No circuito elétrico ideal acima ilustrado, a chave é fechada no instante t = 0, proporcionando o funcionamento do circuito para tempos posteriores. Antes de ligar a chave, não havia energia armazenada no indutor e no capacitor. A partir dessas informações, julgue o item seguinte.
Em regime permanente — longo tempo após a chave ter sido ligada —, a tensão nos terminais do capacitor é igual a 5 V.
Em regime permanente — longo tempo após a chave ter sido ligada —, a tensão nos terminais do capacitor é igual a 5 V.
Provas
Questão presente nas seguintes provas
Cadernos
Caderno Container