Foram encontradas 937 questões.
Provas
- Eletrônica AnalógicaAmplificadores, diodos, transistores, tiristores e dispositivos correlatos
- Eletrônica AnalógicaCircuitosCircuitos com Amplificadores e com conversores de dados
Assinale a alternativa que preenche corretamente as lacunas da afirmação seguinte:
Para uma perfeita conexão óptica entre um LED e um ...... infravermelhos é necessário que ambos operem com a máxima ...... e iguais .....
Provas

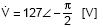
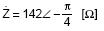
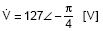
No diagrama fasorial, os fasores I, II, III e IV representam, respectivamente,
Provas

Provas

Provas
Provas

Provas

O diodo Zener será empregado em um circuito regulador de tensão para uma carga de 5 V ± 5%, cujo consumo de corrente é desprezível (menor do que 10 μA). O circuito regulador é composto de uma bateria de 12 V que alimenta um resistor R em série com o diodo Zener.

O valor comercial de R que atende às exigências do projeto é
Provas
O Índice de Proteção-IP dos transformadores é composto de dois algarismos cujos significados são
Provas
Provas
Caderno Container