Foram encontradas 1.030 questões.
No que concerne a união e intersecção de eventos, julgue o item que se segue.
Considerem os eventos A e B, tais que P(A|B) = k P(B|A). Nesse caso, se !$ P(B)= \dfrac {1} {3}, !$ então k > 3.
Provas
Questão presente nas seguintes provas
Considerando o conceito de distribuição de probabilidade, julgue o item.
Em uma variável aleatória x !$ \epsilon !$ [-1,1], na qual a função de probabilidade acumulada seja
a probabilidade de X = 0 é superior a 1/4.
Provas
Questão presente nas seguintes provas
Considerando o conceito de distribuição de probabilidade, julgue o item.
A distribuição discreta cuja função de probabilidade acumulada seja !$ F(x) = \dfrac {x- \alpha} {b- \alpha}, \alpha \le x \le b !$ somente será válida se !$ \alpha >0. !$. Provas
Questão presente nas seguintes provas
Considerando o conceito de distribuição de probabilidade, julgue o item.
Todos os eventos independentes são disjuntos.Provas
Questão presente nas seguintes provas
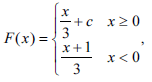
Considerando o conceito de distribuição de probabilidade, julgue o item.
A função !$ \epsilon !$ 
Provas
Questão presente nas seguintes provas
Considerando o conceito de distribuição de probabilidade, julgue o item.
A fórmula de Bayes !$ P (A|B) = \dfrac {P(B|A) P(A)} {P(B)} !$é uma consequência da definição de probabilidade condicional.
Provas
Questão presente nas seguintes provas
De acordo com as probabilidades condicionais, julgue o item que subsecutivo.
A probabilidade de uma empregada doméstica ter carteira assinada e receber vale-transporte não pode ser superior à probabilidade de ela receber vale-transporte.
Provas
Questão presente nas seguintes provas
De acordo com as probabilidades condicionais, julgue o item que subsecutivo.
Se A, B e C forem eventos de modo que A e B e A e C sejam independentes, então P(A !$ \cap !$ B !$ \cap !$ C) !$ \ne !$ P(A) !$ \times !$ P(B) !$ \times !$ P(C).
Provas
Questão presente nas seguintes provas
Com base em distribuições contínuas, julgue o item subsequente.
Se P for uma variável aleatória beta com parâmetros (a, b) e se X for uma binomial com parâmetros N e P, então o produto de f(P) × P(X), em que f(P) é a função densidade de probabilidade de P e P(X) é a probabilidade de X, será proporcional à densidade de uma beta com parâmetros (a + X, b + N – X).
Provas
Questão presente nas seguintes provas
- Estatística InferencialFunções Densidade de ProbabilidadeFunção Densidade de Probabilidade (Avançado)
Com base em distribuições contínuas, julgue o item subsequente.
Considere que uma variável aleatória contínua e simétrica em zero tenha função densidade de probabilidade f(x) tal que !$ \int_{-k}^{0} f(x) dx \le 0 \le \int_{0}^{k} f(x) dx. !$Nesse caso, !$ P(X \in [-k;k]) = 0 !$
Provas
Questão presente nas seguintes provas
Cadernos
Caderno Container