Foram encontradas 454 questões.
Sobre hipoteca é correto afirmar:
Provas
Questão presente nas seguintes provas
A empresa Industrial S.A. adquiriu, em 31/12/2012, uma máquina para utilizar em seu processo produtivo. A máquina foi adquirida por meio de arrendamento mercantil financeiro para ser paga em 60 prestações mensais, iguais e consecutivas de R$ 6.000,00. No momento da aquisição, a taxa de juros implícita na operação, o valor presente das prestações e o valor justo da máquina eram, respectivamente, 2% a.m., R$ 208.565,62 e R$ 205.000,00. Com base nessas informações, é correto afirmar que, em 31/12/2012, a empresa reconheceu um ativo.
Provas
Questão presente nas seguintes provas
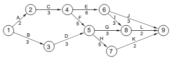
Considere o planejamento de uma obra civil por meio do cronograma PERT/CPM, representado na figura a seguir.
No cronograma, as letras representam as atividades, cuja duração em dias, está indicada abaixo. O tempo previsto, em dias, pelo caminho crítico dessa rede é
No cronograma, as letras representam as atividades, cuja duração em dias, está indicada abaixo. O tempo previsto, em dias, pelo caminho crítico dessa rede é
Provas
Questão presente nas seguintes provas
- Gestão Estratégica
- PODC: Processo OrganizacionalProcesso Administrativo: PlanejamentoPlanejamento Baseado em Cenários
- PODC: Processo OrganizacionalProcesso Administrativo: PlanejamentoPlanejamento Estratégico, Tático e Operacional
- Teorias da AdministraçãoAbordagem NeoclássicaTeoria Neoclássica da Administração
Principais características do sistema de planejamento no Brasil:
Provas
Questão presente nas seguintes provas
Cadernos
Caderno Container