Foram encontradas 943 questões.

A corrente i(t) está avançada da tensão v(t).
Provas

A corrente elétrica i(t), em regime permanente, tem amplitude inferior a 5 A.
Provas
A iluminação representa uma parcela significativa de consumo residencial total de energia elétrica, sendo maior entre 17 e 23 horas, o denominado horário de pico do sistema elétrico. Acerca desse assunto, julgue os itens que se seguem.
O reator utilizado em lâmpadas fluorescentes circulares é benéfico para melhorar (elevar) o fator de potência durante o horário de pico.
Provas
A iluminação representa uma parcela significativa de consumo residencial total de energia elétrica, sendo maior entre 17 e 23 horas, o denominado horário de pico do sistema elétrico. Acerca desse assunto, julgue os itens que se seguem.
Provas

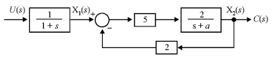
Com base no diagrama de blocos na figura acima, que representa um processo físico cuja entrada é U(s) e saída C(s), e considerando que s seja o operador complexo da transformada de Laplace, julgue os itens a seguir.
O sistema representado pelo diagrama de blocos apresenta sempre um pólo igual a - 1.
Provas

Com base no diagrama de blocos na figura acima, que representa um processo físico cuja entrada é U(s) e saída C(s), e considerando que s seja o operador complexo da transformada de Laplace, julgue os itens a seguir.
Caso o parâmetro a seja nulo, então, em regime permanente, a resposta do sistema ao impulso será nula; mas, ainda nessa situação, a resposta ao degrau será diferente de zero.
Provas

Com base no diagrama de blocos na figura acima, que representa um processo físico cuja entrada é U(s) e saída C(s), e considerando que s seja o operador complexo da transformada de Laplace, julgue os itens a seguir.
Considerando que o sistema seja representado na forma de variáveis de estado, a partir das variáveis definidas no domínio s do diagrama de blocos, a representação do sistema, nesse caso, pode ser descrita por meio de

Provas

Com base no diagrama de blocos na figura acima, que representa um processo físico cuja entrada é U(s) e saída C(s), e considerando que s seja o operador complexo da transformada de Laplace, julgue os itens a seguir.
Para valores negativos do parâmetro a, o sistema será instável.
Provas

Com base no diagrama de blocos na figura acima, que representa um processo físico cuja entrada é U(s) e saída C(s), e considerando que s seja o operador complexo da transformada de Laplace, julgue os itens a seguir.
Qualquer que seja o valor do parâmetro a, a saída C(s) do sistema, quando analisada no domínio do tempo, nunca será oscilatória.
Provas

Com relação à figura acima, que mostra um circuito elétrico para implementar um conversor D/A com resistores ponderados, e considerando R 1 <<R, julgue os itens subseqüentes.
Esse circuito D/A, com resistores ponderados, na prática, é o mais utilizado nesse tipo de conversão.
Provas
Caderno Container