Foram encontradas 777 questões.
A média harmônica dos 4 primeiros números primos maiores que 3, com aproximação de duas casas decimais, é
Provas
Questão presente nas seguintes provas
Uma indústria de beneficiamento de algodão produz fardos de algodão em cubos com medida de lado nominal de 0,6 m e com peso nominal de 100 kg. Os analistas gostariam de controlar grandes variações no peso do fardo (maiores do que 1,5 desvios-padrão) e pequenas variações na medida de lado do cubo (menores do que 1,5 desvios-padrão). Os fardos são produzidos em lotes de 50 unidades. Nos processos de controle de qualidade dos lotes de fardos, considerando-se peso do fardo e sua medida de lado, as cartas de controle a serem utilizadas devem ser, respectivamente,
Provas
Questão presente nas seguintes provas
Sobre o modelo de regressão ponderada espacialmente (Geographically Weighted Regression – GWR), é correto afirmar que
Provas
Questão presente nas seguintes provas
Sobre o modelo de fatores ortoganais, é correto afirmar que
Provas
Questão presente nas seguintes provas
O Teorema de Lehmann-Scheffé estabelece que
Provas
Questão presente nas seguintes provas
Sobre o método de Newton-Raphson é correto afirmar que
Provas
Questão presente nas seguintes provas
- Estatística DescritivaMedidas de Dispersão
- Estatística DescritivaMedidas de Tendência CentralQuartil, Decil e Percentil
- Estatística DescritivaMedidas de Tendência CentralBox Plot
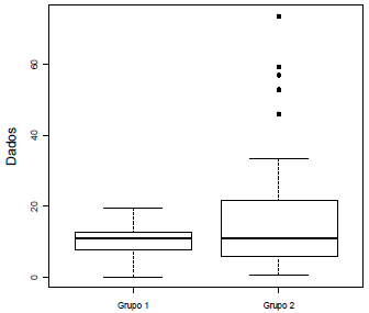
A figura apresenta dois gráficos de caixa (boxplots), que foram construídos a partir de dois conjuntos de dados diferentes. O quadro apresenta algumas estatísticas descritivas para quatro conjuntos de dados. A partir da análise dos gráficos da figura e das estatísticas descritivas no quadro, é possível associar cada um dos gráficos (grupos 1 e 2) a um dos conjuntos de dados (I, II, III ou IV). Observe.

|
Conjunto de Dados |
Primeiro quartil |
Mediana | Média |
Terceiro quartil |
| I | 7,6 | 10,8 | 10,3 | 12,7 |
| II | 6,0 | 11,0 | 15,0 | 21,7 |
| III | 6,0 | 11,0 | 7,0 | 21,7 |
| IV | 7,6 | 10,8 | 15,0 | 12,7 |
Assinale a associação correta.
Provas
Questão presente nas seguintes provas
- FundamentosAmostra
- Amostragem
- Estatística DescritivaMedidas de Dispersão
- Estatística DescritivaMedidas de Tendência Central
Para se fazer corretamente inferências estatísticas sobre o modelo de regressão linear ordinário Yi = β0+ β1X1i + β2X2i + ... + βpXpi + εi, i = 1, 2, ..., n, onde n é o tamanho da amostra, é necessário que
I. os erros εi, i = 1, 2, ..., n, sejam variáveis aleatórias com distribuição gaussiana de média zero e variância σ2.
II. os erros εi, i = 1, 2, ..., n, sejam independentes entre si.
III. as variáveis explicativas (X1, X2, ..., Xp) tenham distribuição gaussiana com médias μ1, μ2, ... , μp, respectivamente, e variância constante.
IV. os erros εi, i = 1, 2, ..., n, e as variáveis explicativas (X1, X2, ... , Xp) não sejam correlacionados entre si.
Assinale
Provas
Questão presente nas seguintes provas
Sobre conceitos de análise multivariada, analise.
I. O expoente da função de densidade normal univariada pode ser generalizada para o caso multivariado, com um vetor
de observações (p x 1): 
II. A função de distribuição qui-quadrado pode ser expressa por uma função gama incompleta.
III. Uma das propriedades da distribuição normal multivariada é a de que, dado um vetor normalmente distribuído, combinações lineares dos componentes desse vetor não serão normalmente distribuídos.
Assinale
I. O expoente da função de densidade normal univariada pode ser generalizada para o caso multivariado, com um vetor
de observações (p x 1): 
II. A função de distribuição qui-quadrado pode ser expressa por uma função gama incompleta.
III. Uma das propriedades da distribuição normal multivariada é a de que, dado um vetor normalmente distribuído, combinações lineares dos componentes desse vetor não serão normalmente distribuídos.
Assinale
Provas
Questão presente nas seguintes provas
Para duas variáveis x e y, são dados:
\( \overline {x} = 50; \overline {y} = 4; \overline {xy} = 320; \sigma (x) = 10 \sqrt {10}; \sigma (y) = \sqrt {22,5}. \)O coeficiente de correlação entre as variáveis é
Provas
Questão presente nas seguintes provas
Cadernos
Caderno Container