Foram encontradas 272 questões.
Pesquisadores estão testando tratamentos para a calvície, cultivando cabelo em uma placa de Petri. Duas moléculas distintas parecem promissoras para possíveis tratamentos para a perda capilar: um peptídeo de levedura e um antioxidante chamado isoflavona. Com relação a esse tratamento, assinale a opção correta.
Provas
Antes de chegar às nossas torneiras, a água que consumimos segue um longo trajeto e passa por várias etapas de tratamento. É um conjunto de processos químicos e físicos que evitam qualquer tipo de contaminação e transmissão de doenças. Assinale a alternativa que apresenta a ordem correta dessas etapas no tratamento da água.
Provas
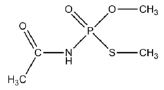
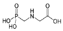
Cada alternativa a seguir apresenta a estrutura de uma substância orgânica aplicada na área da medicina. Assinale a opção que associa corretamente a estrutura a suas funções orgânicas.
Provas
Vem de uma flor, cura a dor, mas causa morte e pavor. É a aspirina, o remédio mais conhecido do mundo. Contém o ácido acetilsalicílico existente em flores do gênero Spirae, muito usadas em buquês de noivas. Além de curar a dor, esse ácido também é usado para proteger o coração de doenças, pois ele também impede a formação de coágulos, mas, se usado indiscriminadamente, pode causar a morte. Veja a estrutura de uma molécula desse ácido e assinale a afirmação verdadeira.

Provas
Está sendo construído novo carro-conceito híbrido usando energia solar. Painéis solares montados no teto do veículo são utilizados para carregar uma bateria de íons de lítio, que abastece o carro para viagens de até 34 km. Depois disso, o motor a gasolina do híbrido entra em funcionamento, até um novo carregamento da bateria. O sistema permite que o carro carregue até 8 vezes mais rápido do que se fosse simplesmente estacionado na luz solar. Pela importância do uso do lítio em baterias, assinale a alternativa correta.
Provas
A maioria das obstruções causadas nos esgotos é proveniente de aparelhos sanitários e pias residenciais cujos principais detritos são: fibras internas de fraldas descartáveis, cerdas de escova de dente, fiapos, plásticos, tecidos, panos e óleos. Dependendo da quantidade, esses detritos obstruem o caminho dos esgotos, causando entupimentos que, muitas vezes, causam enchentes nas ruas em consequência de chuvas fortes, provocando perigo para a população. Jogar detritos em pias e aparelhos sanitários é um hábito que deve ser evitado. Com relação a esses detritos, assinale a afirmação verdadeira.
Provas
As gorduras trans devem ser substituídas em nossa alimentação. São consideradas ácidos graxos artificiais mortais e geralmente são provenientes de alguns produtos, tais como: óleos parcialmente hidrogenados, biscoitos, bolos confeitados e salgados. Essas gorduras são maléficas porque são responsáveis pelo aumento do colesterol “ruim” LDL, e também reduzem o “bom” colesterol HDL, causando mortes por doenças cardíacas.

Com respeito a essas informações, assinale a afirmação verdadeira.
Provas
Defensivos agrícolas, chamados comumente de agrotóxicos, são produtos químicos utilizados para combater pragas e doenças que comprometem a produtividade da lavoura e provocam até mesmo a morte de plantas. Quando aplicados em excesso e sem controle, são ofensivos ao ser humano. Existem cerca de 200 tipos de agrotóxicos diferentes e o Brasil é um dos principais consumidores. Aliás, muitos desses compostos são proibidos em outros países, mas no Brasil são utilizados em larga escala sem uma preocupação em relação aos males que podem causar. Assinale a afirmação verdadeira em relação à característica dos agrotóxicos abaixo.
Provas
A revista eletrônica mexicana Muy Interesante (http://www.muyinteresante.com.mx) revela a criação de um sorvete que brilha no escuro. Ele é produzido com uma proteína encontrada na água viva que reage com o cálcio em pH neutro quando o sorvete é degustado. O brilho do sorvete é ocasionado por um fenômeno conhecido como
Provas
Arqueólogos e físicos cobiçam igualmente o chumbo romano antigo existente em antigas embarcações de naufrágios, estimado em 2 mil anos de idade. Para os físicos, como o chumbo antigo é puro, denso e muito menos reativo que o metal recém-minerado, ele será muito aplicado nos dias de hoje, entretanto, ele também tem significado histórico e muitos arqueólogos se opõem ao derretimento de lingotes. Considerando a importância desse metal, assinale a afirmação verdadeira.
Provas
Caderno Container