Foram encontradas 50 questões.
Reinvenção da cidade
Gilberto Dimenstein
Sempre mostro aqui como a tecnologia consegue reinventar as relações em uma cidade. Uma ideia começou, nesta semana, no Brasil, e, se der certo, as cidades terão uma convivência melhor e, ainda por cima, as pessoas vão economizar dinheiro. É um banco do tempo.Funciona assim: alguém presta um serviço gratuitamente. Por exemplo, cuidar do filho do vizinho. Registra esse serviço nesse banco do tempo e ganha um crédito. Assim, vai requisitar um atendimento odontológico do dentista que, por sua vez, tinha recebido a ajuda gratuita de um marceneiro.Ou seja, é um escambo de serviços adaptado à era das redes sociais.
Muita gente aqui vai dizer que não funciona: que vai ter fraude. Com certa razão. Mas a boa cidade é aquela em que as pessoas sabem colaborar com seus talentos.Temos de pensar grande se quisermos viver numa cidade civilizada.Por falar em tecnologia compartilhada, foi lançada nesta semana uma plataforma gratuita para que cada pessoa possa fazer, em poucos minutos, seu aplicativo ou site para celular. É uma boa ajuda aos pequenos comerciantes.
Mais uma dica: Nuvem de Livros. Um banco de livros e de aulas acessível em celulares, com foco na formação de professores. Nos meses de agosto e setembro é gratuito, depois R$ 1,99 semanais. Mais uma dica de que como a tecnologia consegue democratizar, com baixo custo, a educação.
(Disponível em www1.folha.uol.com.br.Publicado em 08/08/2012. Acesso em 10/08/2012. Adaptado)
A frase “se der certo”, no primeiro parágrafo, indica, em relação à ideia a que se refere, uma
Provas
Questão presente nas seguintes provas
Como Engenheiro de operação de uma Unidade de Beneficiamento de Sementes (UBS), quais das afirmações seguintes você considera corretas?
I- As operações de pré-limpeza, secagem e limpeza, bem como a classificação das sementes fazem parte da Unidade de Beneficiamento de Sementes (UBS).
II- A operação de limpeza das sementes em uma UBS é feita por uma máquina que utiliza o princípio de separação das impurezas por discos concêntricos.
III- A operação de secagem de sementes não deve ultrapassar de 60 oC para evitar a perda da sua qualidade fisiológica.
IV-A operação de classificação das sementes em uma UBS é feita por uma máquina que utiliza o princípio da velocidade terminal.
Estão corretas apenas:
Provas
Questão presente nas seguintes provas
Considerando o disposto na Lei de Diretrizes e Bases da Educação Nacional (Lei nº 9.394/1996), relativamente ao ensino fundamental, NÃO se pode afirmar que:
Provas
Questão presente nas seguintes provas
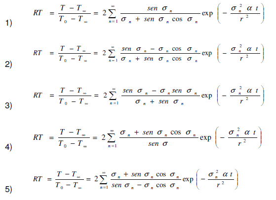
Antes do fruto maçã ser colocado em uma Unidade de Armazenagem a frio, é necessário resfriá-lo, passando da temperatura ambiente de 25°C, para uma temperatura de 4°C, com a finalidade de conservar a maçã por semanas até o período de consumo. Este processo é realizado em um túnel de resfriamento, antes de a maçã ser colocada no armazém a 4 °C. Considerando que o processo de resfriamento segue a equação de Fourier e que a maçã é considerada como um fruto esférico, qual das equações abaixo pode ser utilizada para calcular o tempo em que a maçã levará para atingir a temperatura de 4°C?

em que
!$ RT !$ = razão de temperatura, adimensional.
!$ T !$ = temperatura do produto em cada momento, °C.
!$ T_\infty !$= temperatura do meio de resfriamento, °C.
!$ T_0 !$= temperatura inicial do produto, °C.
!$ \sigma_n !$ = raiz da equação transcendental.
!$ \alpha !$ = difusividade térmica, mm2 .s-1.
!$ r !$ = raio do fruto.
!$ t !$ = tempo, s.
Provas
Questão presente nas seguintes provas
Dentre os protocolos de comunicação usados para a transferência de arquivos nos sistemas operacionais Windows e Linux/Unix, estão respectivamente:
Provas
Questão presente nas seguintes provas
Reinvenção da cidade
Gilberto Dimenstein
Sempre mostro aqui como a tecnologia consegue reinventar as relações em uma cidade. Uma ideia começou, nesta semana, no Brasil, e, se der certo, as cidades terão uma convivência melhor e, ainda por cima, as pessoas vão economizar dinheiro. É um banco do tempo.Funciona assim: alguém presta um serviço gratuitamente. Por exemplo, cuidar do filho do vizinho. Registra esse serviço nesse banco do tempo e ganha um crédito. Assim, vai requisitar um atendimento odontológico do dentista que, por sua vez, tinha recebido a ajuda gratuita de um marceneiro.Ou seja, é um escambo de serviços adaptado à era das redes sociais.
Muita gente aqui vai dizer que não funciona: que vai ter fraude. Com certa razão. Mas a boa cidade é aquela em que as pessoas sabem colaborar com seus talentos.Temos de pensar grande se quisermos viver numa cidade civilizada.Por falar em tecnologia compartilhada, foi lançada nesta semana uma plataforma gratuita para que cada pessoa possa fazer, em poucos minutos, seu aplicativo ou site para celular. É uma boa ajuda aos pequenos comerciantes.
Mais uma dica: Nuvem de Livros. Um banco de livros e de aulas acessível em celulares, com foco na formação de professores. Nos meses de agosto e setembro é gratuito, depois R$ 1,99 semanais. Mais uma dica de que como a tecnologia consegue democratizar, com baixo custo, a educação.
(Disponível em www1.folha.uol.com.br.Publicado em 08/08/2012. Acesso em 10/08/2012. Adaptado)
O sentido adequado da palavra “cidade”, conforme seu uso, no texto, é:
Provas
Questão presente nas seguintes provas
A classificação dos produtos agrícolas obedece a normas específicas para cada um deles, ditadas pelo Ministério da Agricultura.
Para café, trigo e arroz, essa classificação se dá em função das respectivas características:
Provas
Questão presente nas seguintes provas
As pragas virtuais são códigos ou programas maliciosos que se comportam de forma indevida com o objetivo de causar danos ao computador e seus usuários. Dentre os diversos tipos de pragas virtuais existentes, a que se aloja na memória e age abrindo portas de comunicação do computador para a invasão de hackers é:
Provas
Questão presente nas seguintes provas
Reinvenção da cidade
Gilberto Dimenstein
Sempre mostro aqui como a tecnologia consegue reinventar as relações em uma cidade. Uma ideia começou, nesta semana, no Brasil, e, se der certo, as cidades terão uma convivência melhor e, ainda por cima, as pessoas vão economizar dinheiro. É um banco do tempo.Funciona assim: alguém presta um serviço gratuitamente. Por exemplo, cuidar do filho do vizinho. Registra esse serviço nesse banco do tempo e ganha um crédito. Assim, vai requisitar um atendimento odontológico do dentista que, por sua vez, tinha recebido a ajuda gratuita de um marceneiro.Ou seja, é um escambo de serviços adaptado à era das redes sociais.
Muita gente aqui vai dizer que não funciona: que vai ter fraude. Com certa razão. Mas a boa cidade é aquela em que as pessoas sabem colaborar com seus talentos.Temos de pensar grande se quisermos viver numa cidade civilizada.Por falar em tecnologia compartilhada, foi lançada nesta semana uma plataforma gratuita para que cada pessoa possa fazer, em poucos minutos, seu aplicativo ou site para celular. É uma boa ajuda aos pequenos comerciantes.
Mais uma dica: Nuvem de Livros. Um banco de livros e de aulas acessível em celulares, com foco na formação de professores. Nos meses de agosto e setembro é gratuito, depois R$ 1,99 semanais. Mais uma dica de que como a tecnologia consegue democratizar, com baixo custo, a educação.
(Disponível em www1.folha.uol.com.br.Publicado em 08/08/2012. Acesso em 10/08/2012. Adaptado)
De acordo com o sentido e o registro formal escrito, as formas verbais que acompanham todas as ocorrências da forma verbal “vai”, no texto, deveriam estar no
Provas
Questão presente nas seguintes provas
Em se tratando do ensino superior, a Lei de Diretrizes e Bases da Educação Nacional (Lei nº 9.394/1996) dispõe que:
I – O credenciamento de instituições de educação superior terá prazos limitados.
II – Na educação superior, o ano letivo regular, tem, no mínimo, duzentos dias de trabalho acadêmico efetivo.
III – A educação superior tem por finalidade suscitar o desejo permanente de aperfeiçoamento cultural.
IV – A educação superior tem por finalidade estimular o conhecimento dos problemas do mundo presente.
São verdadeiras as afirmações:
Provas
Questão presente nas seguintes provas
Cadernos
Caderno Container