Foram encontradas 50 questões.
Em relação à microbiologia aplicada à biotecnologia, analise as proposições:
I - As bactérias do ácido lático fermentam vários açúcares para formar ácido lático o suficiente para inibir ou matar a maioria dos outros microrganismos no microambiente. Já a maioria das leveduras fermenta açúcares para produzir CO2 e etanol. Essas leveduras são usadas para fazer vinho, cerveja, uísque e pão. São empregadas quase sempre cepas de Saccharomyces cerevisiae e espécies relacionadas.
II - A vantagem do método de esterilização por temperatura frente à filtração esterilizante, é que o primeiro é capaz de remover fisicamente todas as partículas com tamanhos superiores a 0,22 μm, ou seja, bactérias e microrganismos maiores, e, ao mesmo tempo, não promover alterações químicas nos componentes do meio.
III - Na prática industrial, a eliminação parcial de organismos presentes no sistema até um determinado nível é suficiente para garantia de sucesso de um bioprocesso. O nível de desinfecção industrial requerido é variável e estabelecido segundo o produto a ser obtido. Muitas vezes esse nível de contaminação aceitável é definido por normas técnicas estabelecidas por organismos governamentais de controle de processos e produtos.
É CORRETO concluir o que se afirma em:
I - As bactérias do ácido lático fermentam vários açúcares para formar ácido lático o suficiente para inibir ou matar a maioria dos outros microrganismos no microambiente. Já a maioria das leveduras fermenta açúcares para produzir CO2 e etanol. Essas leveduras são usadas para fazer vinho, cerveja, uísque e pão. São empregadas quase sempre cepas de Saccharomyces cerevisiae e espécies relacionadas.
II - A vantagem do método de esterilização por temperatura frente à filtração esterilizante, é que o primeiro é capaz de remover fisicamente todas as partículas com tamanhos superiores a 0,22 μm, ou seja, bactérias e microrganismos maiores, e, ao mesmo tempo, não promover alterações químicas nos componentes do meio.
III - Na prática industrial, a eliminação parcial de organismos presentes no sistema até um determinado nível é suficiente para garantia de sucesso de um bioprocesso. O nível de desinfecção industrial requerido é variável e estabelecido segundo o produto a ser obtido. Muitas vezes esse nível de contaminação aceitável é definido por normas técnicas estabelecidas por organismos governamentais de controle de processos e produtos.
É CORRETO concluir o que se afirma em:
Provas
Questão presente nas seguintes provas
Analise as proposições a seguir sobre biomoléculas e suas funções nos organismos vivos e assinale a
CORRETA:
Provas
Questão presente nas seguintes provas
De acordo com a Associação Brasileira do Sono (ABS), 73 milhões de brasileiros sofrem de insônia.
Um agente hipnótico indicado no tratamento da insônia de curta duração, é o hemitartarato de zolpidem. Sua
estrutura é representada a seguir.
Sobre essa molécula, é CORRETO afirmar que:
Sobre essa molécula, é CORRETO afirmar que:
Provas
Questão presente nas seguintes provas
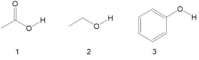
Qual dos seguintes é o ácido mais fraco e qual é o mais forte?


Provas
Questão presente nas seguintes provas
Uma reação química apresenta a seguinte lei de velocidade: velocidade = k[A][B]2
Considerando esta informação e os conceitos de cinética química, analise as seguintes proposições:
I - A ordem global da reação é 3.
II - Se a concentração de B for dobrada, mantendo-se [A] constante, a velocidade da reação aumentará por um fator de 4.
III - O tempo de meia-vida desta reação independe das concentrações iniciais dos reagentes.
É CORRETO concluir o que se afirma em:
Considerando esta informação e os conceitos de cinética química, analise as seguintes proposições:
I - A ordem global da reação é 3.
II - Se a concentração de B for dobrada, mantendo-se [A] constante, a velocidade da reação aumentará por um fator de 4.
III - O tempo de meia-vida desta reação independe das concentrações iniciais dos reagentes.
É CORRETO concluir o que se afirma em:
Provas
Questão presente nas seguintes provas
Considere a seguinte reação de decomposição do pentóxido de dinitrogênio:
2 N2O5(g) → 4 NO2(g) + O2(g)
A lei de velocidade experimental para esta reação é: velocidade = k[N2O5]
Com base nessas informações e no conhecimento sobre cinética química, analise as seguintes proposições:
I - A reação é de primeira ordem em relação ao N2O5.
II - A velocidade da reação aumentará se a concentração inicial de N2O5 for dobrada.
III - A constante de velocidade k independe da temperatura.
É CORRETO concluir o que se afirma em:
2 N2O5(g) → 4 NO2(g) + O2(g)
A lei de velocidade experimental para esta reação é: velocidade = k[N2O5]
Com base nessas informações e no conhecimento sobre cinética química, analise as seguintes proposições:
I - A reação é de primeira ordem em relação ao N2O5.
II - A velocidade da reação aumentará se a concentração inicial de N2O5 for dobrada.
III - A constante de velocidade k independe da temperatura.
É CORRETO concluir o que se afirma em:
Provas
Questão presente nas seguintes provas
Um sistema fechado contendo 1 mol de um gás ideal monoatômico sofre uma expansão isotérmica reversível
de 5 L para 10 L a 298 K. Considere essas condições e indique qual alternativa está CORRETA:
Provas
Questão presente nas seguintes provas
Considere as seguintes proposições sobre processos termodinâmicos:
I - Em um processo isotérmico, a variação da energia interna de um gás ideal é zero.
II - A entropia do universo sempre aumenta em processos espontâneos.
III - A variação da energia livre de Gibbs é igual ao trabalho máximo não-expansivo que pode ser realizado por um sistema à temperatura e pressão constantes.
IV - Para qualquer processo em um sistema isolado, a variação de entropia é sempre maior que zero.
V - A entalpia de uma reação endotérmica é sempre positiva.
É CORRETO concluir o que se afirma em:
I - Em um processo isotérmico, a variação da energia interna de um gás ideal é zero.
II - A entropia do universo sempre aumenta em processos espontâneos.
III - A variação da energia livre de Gibbs é igual ao trabalho máximo não-expansivo que pode ser realizado por um sistema à temperatura e pressão constantes.
IV - Para qualquer processo em um sistema isolado, a variação de entropia é sempre maior que zero.
V - A entalpia de uma reação endotérmica é sempre positiva.
É CORRETO concluir o que se afirma em:
Provas
Questão presente nas seguintes provas
A eletrólise da água é uma maneira direta de obter hidrogênio e oxigênio no estado gasoso com elevado grau
de pureza. Considere uma determinada célula eletrolítica, e os potenciais padrão apresentados na tabela.
Para a eletrólise da água que utiliza um ácido como eletrólito e eletrodos inertes, nas condições padrão de
temperatura e pressão:
Assinale a alternativa CORRETA:
Assinale a alternativa CORRETA:
Provas
Questão presente nas seguintes provas
Considere uma célula galvânica que consiste em um eletrodo de zinco em solução de Zn2+ 1,0 M e um eletrodo
de cobre em solução de Cu2+ 1,0 M. Os potenciais padrão constam na tabela a seguir.
Analise as proposições:
I - No ânodo ocorre a oxidação do zinco, liberando elétrons para a solução. O Cu2+ é reduzido no cátodo, recebendo elétrons da solução.
II - O potencial padrão dessa célula galvânica é +0,42 V.
III - A reação eletroquímica dessa célula galvânica é espontânea.
IV - O potencial da célula diminuirá se a concentração de Cu2+ aumentar.
Sobre essa célula galvânica é CORRETO o que se afirma em:
Analise as proposições:
I - No ânodo ocorre a oxidação do zinco, liberando elétrons para a solução. O Cu2+ é reduzido no cátodo, recebendo elétrons da solução.
II - O potencial padrão dessa célula galvânica é +0,42 V.
III - A reação eletroquímica dessa célula galvânica é espontânea.
IV - O potencial da célula diminuirá se a concentração de Cu2+ aumentar.
Sobre essa célula galvânica é CORRETO o que se afirma em:
Provas
Questão presente nas seguintes provas
Cadernos
Caderno Container