Foram encontradas 65 questões.
O butanoato de etila é um éster etílico volátil,
de odor frutado, encontrado em bebidas alcoólicas
e produzido durante a fermentação por leveduras.
As concentrações de éster etílico diminuem com o
tempo, à medida que a bebida alcoólica
envelhece, devido à hidrólise espontânea.
É um éster responsável por aromas que lembram maçã, abacaxi e queijo gorgonzola, formados pela reação de esterificação, entre o etanol e o ácido butanoico.
A substância que corresponde a um metâmero do produto da reação de esterificação descrita acima é:
É um éster responsável por aromas que lembram maçã, abacaxi e queijo gorgonzola, formados pela reação de esterificação, entre o etanol e o ácido butanoico.
A substância que corresponde a um metâmero do produto da reação de esterificação descrita acima é:
Provas
Questão presente nas seguintes provas
No Brasil, o café é uma das paixões
nacionais. Os brasileiros consomem, em média,
duas doses diárias, mesmo nos dias mais
quentes. Em alguns períodos da década de 1980,
o café era a segunda mercadoria mais negociada
no mundo por valor monetário, atrás apenas
do petróleo. (Portillo, L. El Convenio Internacional del Café y la
crisis del mercado. Comercio Exterior 43: 378-391, 1993)
O café é originário das terras altas da Etiópia, de um local chamado Kaffa. No entanto, a palavra "café" é originária do árabe qahwa, que significa "vinho". Por essa razão o café ficou conhecido como "vinho da Arábia" quando chegou à Europa no Século XIV. (A História do Café: web.archive.org)
É um estimulante, por possuir cafeína (cerca de 80 a 140 mg para cada 207 mL), dependendo do método de preparação. Na figura a seguir, é dada a fórmula estrutural da cafeína:
Sobre a cafeína é correto afirmar que
O café é originário das terras altas da Etiópia, de um local chamado Kaffa. No entanto, a palavra "café" é originária do árabe qahwa, que significa "vinho". Por essa razão o café ficou conhecido como "vinho da Arábia" quando chegou à Europa no Século XIV. (A História do Café: web.archive.org)
É um estimulante, por possuir cafeína (cerca de 80 a 140 mg para cada 207 mL), dependendo do método de preparação. Na figura a seguir, é dada a fórmula estrutural da cafeína:
Sobre a cafeína é correto afirmar que
Provas
Questão presente nas seguintes provas
A hidroxiapatita é o principal constituinte
mineral dos ossos e dos dentes humanos, sendo
sua fórmula molecular Ca10(PO4)6(OH)2. Além de
apresentar grande importância na saúde dentária
e óssea, a hidroxiapatita tem sido estudada por
diversos grupos de pesquisa das engenharias, na
produção de biocerâmicas, na indústria de
alimentos, e em procedimentos estéticos.
Os fosfatos de cálcio são materiais cerâmicos que apresentam propriedades particulares como biocompatibilidade e similaridade química com os tecidos ósseos e dentários dos seres vivos. Sua morfologia porosa permite que estes se apresentem como material apropriado para a utilização em substituição de pequenas partes de tecido ósseo, já que proporciona o crescimento de canais de sistemas nervosos, suporte para vasos sanguíneos como também suporte para deposição de fármacos.
(M. V. B. dos Santos, J. A. Osajima, E. C. da Silva Filho, Hidroxiapatita: suporte para liberação de fármacos e propriedades antimicrobianas, Cerâmica, 62, 256-265, 2016) http://dx.doi.org/10.1590/0366-69132016623631980
Dada a fórmula molecular do fosfato de cálcio, Ca3(PO4)2, o número de oxidação do cálcio, do fósforo e do oxigênio, são, respectivamente
Os fosfatos de cálcio são materiais cerâmicos que apresentam propriedades particulares como biocompatibilidade e similaridade química com os tecidos ósseos e dentários dos seres vivos. Sua morfologia porosa permite que estes se apresentem como material apropriado para a utilização em substituição de pequenas partes de tecido ósseo, já que proporciona o crescimento de canais de sistemas nervosos, suporte para vasos sanguíneos como também suporte para deposição de fármacos.
(M. V. B. dos Santos, J. A. Osajima, E. C. da Silva Filho, Hidroxiapatita: suporte para liberação de fármacos e propriedades antimicrobianas, Cerâmica, 62, 256-265, 2016) http://dx.doi.org/10.1590/0366-69132016623631980
Dada a fórmula molecular do fosfato de cálcio, Ca3(PO4)2, o número de oxidação do cálcio, do fósforo e do oxigênio, são, respectivamente
Provas
Questão presente nas seguintes provas
A laranja é uma fruta cítrica, excelente fonte
de vitamina C e outros nutrientes vitais. A vitamina
C é um ótimo antioxidante natural, pois age no
fortalecimento do sistema imunológico, ajudando
o corpo a combater infecções, doenças e
impulsionar as defesas imunológicas.
O Brasil é o maior produtor global de suco de laranja, representando 62% do volume mundial. A produção concentra-se entre São Paulo e Minas Gerais. Em 2022/23, a safra de suco de laranja no Brasil atingiu 586.313 toneladas, com um aumento de 17% nas exportações.
Para garantir a qualidade e a durabilidade do produto, as indústrias alimentícias precisam ter o controle do pH, que resulta em melhores características e benefícios à saúde humana. Na prática, um pH muito baixo pode favorecer à proliferação de bactérias e leveduras que deterioram o produto; e pH acima de 7,0 a 7,5 pode favorecer a atividade da enzima pectina metil esterase que também resulta na degradação do produto. De modo geral, a literatura indica que o suco de laranja tenha um pH ácido, entre 3 e 4.
O laboratório de controle de qualidade de uma indústria alimentícia coletou cinco amostras de sucos de laranja, processadas em dias diferentes, e analisou a concentração de íons H3O+ de cada uma:
Sobre as amostras coletadas pelo controle de qualidade, é correto afirmar que
O Brasil é o maior produtor global de suco de laranja, representando 62% do volume mundial. A produção concentra-se entre São Paulo e Minas Gerais. Em 2022/23, a safra de suco de laranja no Brasil atingiu 586.313 toneladas, com um aumento de 17% nas exportações.
Para garantir a qualidade e a durabilidade do produto, as indústrias alimentícias precisam ter o controle do pH, que resulta em melhores características e benefícios à saúde humana. Na prática, um pH muito baixo pode favorecer à proliferação de bactérias e leveduras que deterioram o produto; e pH acima de 7,0 a 7,5 pode favorecer a atividade da enzima pectina metil esterase que também resulta na degradação do produto. De modo geral, a literatura indica que o suco de laranja tenha um pH ácido, entre 3 e 4.
O laboratório de controle de qualidade de uma indústria alimentícia coletou cinco amostras de sucos de laranja, processadas em dias diferentes, e analisou a concentração de íons H3O+ de cada uma:
Sobre as amostras coletadas pelo controle de qualidade, é correto afirmar que
Provas
Questão presente nas seguintes provas
O cloreto de sódio é um composto iônico muito
utilizado no cotidiano, pois o sal é essencial para a vida
animal, além de ser um importante conservante de
alimentos. Essa é uma técnica bastante antiga, usada
há séculos para prolongar a vida útil dos alimentos, e
fundamental na história da alimentação, pois garantiu
a preservação dos nutrientes, armazenamento e
conservação a longo prazo.
Há diferentes métodos para sintetizar o cloreto de sódio; um deles se dá a partir do sódio metálico e do gás cloro.
(CASTELLAN, G. Fundamentos de Físico-Química. 9ª Ed., Rio de Janeiro: LTC, página 141, 2011).
O valor do ∆H da reação global da formação do cloreto de sódio é
Considere as seguintes equações termoquímicas:
Há diferentes métodos para sintetizar o cloreto de sódio; um deles se dá a partir do sódio metálico e do gás cloro.
(CASTELLAN, G. Fundamentos de Físico-Química. 9ª Ed., Rio de Janeiro: LTC, página 141, 2011).
O valor do ∆H da reação global da formação do cloreto de sódio é
Considere as seguintes equações termoquímicas:
Provas
Questão presente nas seguintes provas
Recentemente, escavações arqueológicas
no Nordeste dos Estados Unidos descobriram
uma pilha eletroquímica feita com eletrodos de
cobre e ferro; a invenção foi datada entre os anos
300 a.C e 300 d.C. Existe alguma evidência de
que já no ano 2500 a.C. os egípcios sabiam como
galvanizar os objetos.
(CASTELLAN, G. Fundamentos de Físico-Química. 9ª Ed., Rio de Janeiro: LTC, páginas 410 - 427, 2011).
A galvanização é um processo em que se reveste peças de ferro ou de aço com zinco metálico. Essa camada de zinco atua como uma barreira física e, em alguns casos, como um metal de sacrifício. Esse processo protege contra a corrosão e a ferrugem, prolongando a vida útil do material.
Analise as semirreações a seguir:
A opção que representa o que ocorre no anodo e no catodo, respectivamente, desse processo é:
(CASTELLAN, G. Fundamentos de Físico-Química. 9ª Ed., Rio de Janeiro: LTC, páginas 410 - 427, 2011).
A galvanização é um processo em que se reveste peças de ferro ou de aço com zinco metálico. Essa camada de zinco atua como uma barreira física e, em alguns casos, como um metal de sacrifício. Esse processo protege contra a corrosão e a ferrugem, prolongando a vida útil do material.
Analise as semirreações a seguir:
A opção que representa o que ocorre no anodo e no catodo, respectivamente, desse processo é:
Provas
Questão presente nas seguintes provas
O gás acetileno ou etino, pela nomenclatura
PIN (Preferred IUPAC Name), é um
hidrocarboneto inflamável amplamente utilizado
em processos industriais, tais como: solda, corte
de metais, produção de uma série de produtos
químicos etc. Uma das formas de sintetizá-lo é
pela equação química abaixo:
CaC2 (s) + 2 H2O (l) → C2H2 (g) + Ca(OH)2 (s)
Com relação à polaridade do acetileno e sua geometria molecular, é correto afirmar que a molécula é
CaC2 (s) + 2 H2O (l) → C2H2 (g) + Ca(OH)2 (s)
Com relação à polaridade do acetileno e sua geometria molecular, é correto afirmar que a molécula é
Provas
Questão presente nas seguintes provas
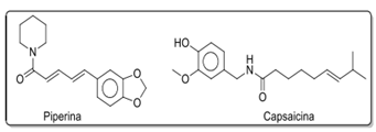
A Piperina (C17H19NO3) e a Capsaicina
(C18H27NO3) são compostos orgânicos
responsáveis pela ardência das pimentas:
pimenta chili e pimenta-do-reino, respectivamente.
Suas fórmulas estruturais estão representas
abaixo:
Fórmulas estruturais desenhadas no programa ChemBioDraw Ultra
Sobre esses compostos orgânicos é correto afirmar que
Fórmulas estruturais desenhadas no programa ChemBioDraw Ultra
Sobre esses compostos orgânicos é correto afirmar que
Provas
Questão presente nas seguintes provas
Na aula de Química Geral Experimental 1, no
1º período do curso de Química, o professor irá
conduzir o experimento da destilação simples de uma
solução aquosa de CuSO4. Para a preparação dessa
aula foi solicitado ao técnico de laboratório que
separasse os equipamentos necessários ao
experimento. Além dos materiais acessórios como
garras, mufla, e mangueiras, os principais
equipamentos que serão necessários para a
realização da aula prática são
Provas
Questão presente nas seguintes provas
Analise, no quadro a seguir, algumas das
vidrarias presentes no almoxarifado de um
laboratório de pesquisa da Universidade Federal
Fluminense (UFF).
O trabalho experimental deve ser sempre realizado com muita atenção, prezando sempre pela segurança. O uso correto das vidrarias e dos equipamentos é uma das primeiras medidas a serem tomadas para garantir a segurança no laboratório de química.
Conforme a ordem apresentada no quadro, as nomenclaturas dessas vidrarias são, respectivamente:
O trabalho experimental deve ser sempre realizado com muita atenção, prezando sempre pela segurança. O uso correto das vidrarias e dos equipamentos é uma das primeiras medidas a serem tomadas para garantir a segurança no laboratório de química.
Conforme a ordem apresentada no quadro, as nomenclaturas dessas vidrarias são, respectivamente:
Provas
Questão presente nas seguintes provas
Cadernos
Caderno Container