Magna Concursos

Foram encontradas 45 questões.

SORRIA
A substituição do homem pela máquina segue em ritmo acelerado. São máquinas que atendem ao telefone de muitas empresas. Isto é melhor para o cliente? Nem sempre. É mais barato para a empresa? Provavelmente sim. O que é certo é que elimina empregos de atendentes ao mesmo tempo em que gera empregos técnicos. Produz as adoradas estatísticas, que regem o mundo corporativo, sejam sensatas ou não.
Hoje ouvimos uma frase onipresente: “Para sua segurança esta ligação poderá ser gravada”. É uma versão rústica de outra mensagem frequente nos EUA: “Para controle de qualidade do nosso atendimento esta ligação poderá ser monitorada”.
Por que gravam nossas ligações? De que segurança estão falando? Estão querendo nos proteger ou proteger a eles mesmos? Se é para nos proteger, por que não facilitam o nosso acesso a tais gravações?
O paralelo mais óbvio às gravações de voz são as câmeras de segurança. No mundo da espionagem institucionalizada, a comunicação evoluiu para algo mais simpático e menos ameaçador. “Sorria. Você está sendo filmado.”
As câmeras são instaladas para flagrar furtos, roubos e outros crimes. Mas, ao ler essa frase, o cidadão pode se sentir um ator de cinema e realmente sorrir, esquecendo um instante que o motivo da filmagem é desconfiança e repressão.
Nas últimas semanas, um colégio tradicional paulistano instalou câmeras dentro de salas de aula. Não, não eram berçários dos quais pais aflitos, desconfiados ou culpados vigiam bebês e profissionais à distância. Era uma escola de elite que num só dia suspendeu 107 alunos do ensino médio que resolveram protestar quando descobriram as câmeras.
Questionada, a direção da escola alegou razões de segurança e disciplina. O fato de já haver câmeras em laboratórios [...] fez com que a escola não se preocupasse em discutir o tema com pais e alunos antes de instalar os olhos de vidro em todas as salas de aula.
Parte dos pais aprovou a medida, mas especialistas levantaram a voz para questionar que tipo de educação se desenvolve com base em desconfiança mútua. Outros questionaram o direito de uma escola filmar menores sem aval dos pais.
A ideia é do final do século 18 e foi concebida pelo filósofo e jurista inglês Jeremy Bentham. Ganhou o nome de poder panóptico: a consciência da permanente visibilidade asseguraria o funcionamento de um poder autoritário, como uma prisão, um manicômio, uma empresa ou uma escola. A única novidade é a banalização do instrumento.
Panopticon é o nome de uma estrutura arquitetônica concebida para permitir a observação de tudo o que se passa num edifício sem que as pessoas a serem observadas saibam se estão sendo vigiadas. A simples possibilidade de estarem sendo vigiadas regularia o comportamento delas. O desenho consiste numa estrutura circular com uma torre de inspeção no centro, de onde o inspetor oculto poderia avistar todos os que estiverem no perímetro do edifício. Ele descreveu o projeto como um novo modo de obter poder da mente sobre a mente, numa quantidade até então sem paralelo.
STRECKER, Marion. Folha de S.Paulo. São Paulo, 15 out.2012. TEC, F8.[Fragmento]
Leia estas afirmativas e assinale (V) para as verdadeiras e (F) para as falsas.
I. ( ) Em “Isto é melhor para o cliente?”, o termo sublinhado refere-se à substituição do homem pela máquina.
II. ( ) A pergunta “De que segurança estão falando?” remete à frase “Para controle de qualidade do nosso atendimento esta ligação poderá ser monitorada”.
III. ( ) A frase “Sorria. Você está sendo filmado.” apresenta, como mensagem subliminar, uma intimidação.
IV. ( ) Em “Se é para nos proteger, por que não facilitam o nosso acesso a tais gravações?”, o termo sublinhado remete ao
registro feito nas ligações telefônicas.
A sequência CORRETA é
 

Provas

Questão presente nas seguintes provas
Analise e responda a questão, de acordo com Lei nº 8.112, de 11/12/1990 e suas alterações.
Remoção é
 

Provas

Questão presente nas seguintes provas
Analise e responda a questão, de acordo com Lei nº 8.112, de 11/12/1990 e suas alterações.
Sem qualquer prejuízo, poderá o servidor ausentar-se do serviço
 

Provas

Questão presente nas seguintes provas
2235624 Ano: 2013
Disciplina: Química
Banca: UFMG
Orgão: UFMG
Segurança é uma questão muito importante no trabalho em laboratório. Conhecer os riscos inerentes às substâncias químicas e a sinalização de segurança é essencial. As substâncias químicas podem ser agrupadas, segundo suas características de periculosidade da seguinte forma:
(1) (2) (3)
asfixiantes tóxicos carcinogênicos
explosivos corrosivos mutagênicos
comburentes irritantes teratogênicos
inflamáveis danosos ao alergênicos
meio ambiente
As características de periculosidade das substâncias são, também, informadas por intermédio de símbolos de segurança, como os presentados a seguir.
Enunciado 3042382-1
Os símbolos de segurança na sequência acima estão relacionados com os grupos 1, 2 e 3 na seguinte ordem:
 

Provas

Questão presente nas seguintes provas
2235588 Ano: 2013
Disciplina: Química
Banca: UFMG
Orgão: UFMG

O ácido acetilsalicílico é o analgésico mais utilizado em todo o mundo. Para a determinação do teor desse ácido em uma amostra, cinco comprimidos foram pesados em uma balança analítica, transferidos para um béquer e dissolvidos em água e etanol. A mistura resultante foi transferida para um recipiente de capacidade de 500,0 mL (vidraria A). Uma alíquota de 10,00 mL dessa solução recém-preparada foi transferida para um erlenmeyer de 250 mL utilizando um outro recipiente (vidraria B) e, em seguida, titulada com uma solução diluída de NaOH que estava em um recipiente de 25,00 mL (vidraria C).

Os equipamentos volumétricos, vidrarias A, B e C, são respectivamente:

 

Provas

Questão presente nas seguintes provas
2235569 Ano: 2013
Disciplina: Química
Banca: UFMG
Orgão: UFMG
A água oxigenada é um produto comercial usado como antisséptico contendo uma solução aquosa de peróxido de hidrogênio. O peróxido de hidrogênio, nas condições normais de temperatura e pressão, é um líquido que sofre um processo de decomposição relativamente rápido, conforme a equação química:
2 H2O2 (aq) → 2 H2O (l) + O2 (g).
A concentração de água oxigenada expressa em volumes significa o volume do gás oxigênio, em litros, liberado por um litro de solução de água oxigenada. Uma solução de água oxigenada de concentração igual a 10 volumes tem a concentração de peróxido de hidrogênio igual a:
 

Provas

Questão presente nas seguintes provas
SORRIA
A substituição do homem pela máquina segue em ritmo acelerado. São máquinas que atendem ao telefone de muitas empresas. Isto é melhor para o cliente? Nem sempre. É mais barato para a empresa? Provavelmente sim. O que é certo é que elimina empregos de atendentes ao mesmo tempo em que gera empregos técnicos. Produz as adoradas estatísticas, que regem o mundo corporativo, sejam sensatas ou não.
Hoje ouvimos uma frase onipresente: “Para sua segurança esta ligação poderá ser gravada”. É uma versão rústica de outra mensagem frequente nos EUA: “Para controle de qualidade do nosso atendimento esta ligação poderá ser monitorada”.
Por que gravam nossas ligações? De que segurança estão falando? Estão querendo nos proteger ou proteger a eles mesmos? Se é para nos proteger, por que não facilitam o nosso acesso a tais gravações?
O paralelo mais óbvio às gravações de voz são as câmeras de segurança. No mundo da espionagem institucionalizada, a comunicação evoluiu para algo mais simpático e menos ameaçador. “Sorria. Você está sendo filmado.”
As câmeras são instaladas para flagrar furtos, roubos e outros crimes. Mas, ao ler essa frase, o cidadão pode se sentir um ator de cinema e realmente sorrir, esquecendo um instante que o motivo da filmagem é desconfiança e repressão.
Nas últimas semanas, um colégio tradicional paulistano instalou câmeras dentro de salas de aula. Não, não eram berçários dos quais pais aflitos, desconfiados ou culpados vigiam bebês e profissionais à distância. Era uma escola de elite que num só dia suspendeu 107 alunos do ensino médio que resolveram protestar quando descobriram as câmeras.
Questionada, a direção da escola alegou razões de segurança e disciplina. O fato de já haver câmeras em laboratórios [...] fez com que a escola não se preocupasse em discutir o tema com pais e alunos antes de instalar os olhos de vidro em todas as salas de aula.
Parte dos pais aprovou a medida, mas especialistas levantaram a voz para questionar que tipo de educação se desenvolve com base em desconfiança mútua. Outros questionaram o direito de uma escola filmar menores sem aval dos pais.
A ideia é do final do século 18 e foi concebida pelo filósofo e jurista inglês Jeremy Bentham. Ganhou o nome de poder panóptico: a consciência da permanente visibilidade asseguraria o funcionamento de um poder autoritário, como uma prisão, um manicômio, uma empresa ou uma escola. A única novidade é a banalização do instrumento.
Panopticon é o nome de uma estrutura arquitetônica concebida para permitir a observação de tudo o que se passa num edifício sem que as pessoas a serem observadas saibam se estão sendo vigiadas. A simples possibilidade de estarem sendo vigiadas regularia o comportamento delas. O desenho consiste numa estrutura circular com uma torre de inspeção no centro, de onde o inspetor oculto poderia avistar todos os que estiverem no perímetro do edifício. Ele descreveu o projeto como um novo modo de obter poder da mente sobre a mente, numa quantidade até então sem paralelo.
STRECKER, Marion. Folha de S.Paulo. São Paulo, 15 out.2012. TEC, F8.[Fragmento]
Quando uma chamada para uma central de atendimento é efetuada e ouve-se a mensagem “Para sua segurança esta ligação poderá ser gravada” tem-se a
 

Provas

Questão presente nas seguintes provas
2235522 Ano: 2013
Disciplina: Química
Banca: UFMG
Orgão: UFMG
As características de periculosidade de uma substância podem ser descritas por intermédio das frases de risco. Algumas frases de risco são apresentadas abaixo:
− Substâncias que, em contato com outras, podem produzir reação fortemente exotérmica.
− Substâncias que, quando em contato com tecidos vivos ou materiais, podem exercer sobre eles efeitos destrutivos.
− Substâncias não corrosivas, que por contato com a pele ou mucosas, podem provocar reação inflamatória.
− Substâncias que podem alterar o material genético de células somáticas ou reprodutivas.
Essas frases correspondem, respectivamente, às características de substâncias:
 

Provas

Questão presente nas seguintes provas
2235521 Ano: 2013
Disciplina: Química
Banca: UFMG
Orgão: UFMG
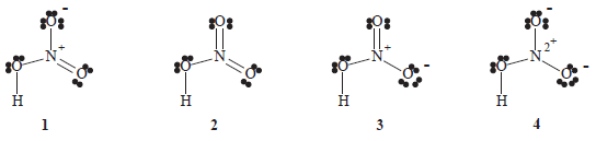
A estrutura de Lewis é uma representação gráfica que pode ser usada para mostrar as ligações entre átomos em uma molécula e também os elétrons não compartilhados.
Abaixo, estão apresentadas as estruturas de ressonância de Lewis da molécula do ácido nítrico.
Enunciado 2928735-1
Sobre essas estruturas é CORRETO afirmar que:
 

Provas

Questão presente nas seguintes provas
2235512 Ano: 2013
Disciplina: Química
Banca: UFMG
Orgão: UFMG
O calor Q de uma transformação química ou física, medido em um calorímetro de capacidade térmica C, pode ser obtido pela fórmula termodinâmica operacional do calor:
Q = C × (Tf – Ti)
As temperaturas final e inicial medidas no calorímetro estão representadas como Tf e Ti nessa equação.
Em um experimento realizado para medir o calor liberado na queima de um combustível, o composto foi queimado num calorímetro em atmosfera de oxigênio e a temperatura aumentou 2,8º C. Esse mesmo calorímetro, ao receber uma energia de 2 J, tem a sua temperatura elevada em 5,11 K. Qual é o calor liberado pela combustão do composto?
 

Provas

Questão presente nas seguintes provas