Foram encontradas 60 questões.
- Gases
- Química CinéticaTransformações Químicas
- Química CinéticaVelocidade de Reação, Energia de Ativação e Catalisadores
A decomposição do pentóxido de nitrogênio, N2O5 (g), em NO2(g) e O2(g), que ocorre a 27°C, segue a cinética de primeira ordem com k = 3,6x10-5 . Uma amostra com uma pressão inicial de 760 torr se decompõe a 27°C, e a pressão parcial atinge o valor de 640 torr. Quanto tempo, em segundos, transcorrerá desde o início da decomposição? (Observação: Considere o N2O5 um gás ideal).
N2Os(g) → 2NO2(g) + 1/2 O2 (g)
Dados: ln 0,04062 = 3,204; ln 0,03421 = - 3,375 R = 62,36 L torr/mol K
N2Os(g) → 2NO2(g) + 1/2 O2 (g)
Dados: ln 0,04062 = 3,204; ln 0,03421 = - 3,375 R = 62,36 L torr/mol K
Provas
Questão presente nas seguintes provas
- Química OrgânicaReações OrgânicasReações Orgânicas: Substituição, Adição e Eliminação
- Química OrgânicaTipos de Reagentes e Mecanismos das Reações Orgânicas
Considere a seguinte reação de substituição:

Dados: Números Atômicos (Z)
H = 1; C = 6; N = 7; Cl = 17
Sobre essa reação, é correto afirmar:
Provas
Questão presente nas seguintes provas
- FundamentosPropriedades das Substâncias
- Química InorgânicaGeometria Molecular, Polaridade e Forças Intermoleculares
Dadas as moléculas SF4, ClF3, BrF5 e XeF2, marque V para as afirmativas verdadeiras e F para as falsas.
( ) As quatro moléculas possuem o mesmo número de domínios ligantes. ( ) A molécula SF4 possui geometria molecular de gangorra e a BrF5 possui geometria piramidal quadrada. ( ) A molécula do ClF3 tem a geometria na forma de T. ( ) A molécula do XeF2 tem geometria de gangorra.
Dados: Números Atômicos (Z)
F = 9; S = 16; Cl = 17; Br = 35; Xe = 54
Assinale a sequência correta.
( ) As quatro moléculas possuem o mesmo número de domínios ligantes. ( ) A molécula SF4 possui geometria molecular de gangorra e a BrF5 possui geometria piramidal quadrada. ( ) A molécula do ClF3 tem a geometria na forma de T. ( ) A molécula do XeF2 tem geometria de gangorra.
Dados: Números Atômicos (Z)
F = 9; S = 16; Cl = 17; Br = 35; Xe = 54
Assinale a sequência correta.
Provas
Questão presente nas seguintes provas
- Química OrgânicaReações OrgânicasReações Orgânicas: Substituição, Adição e Eliminação
- Química OrgânicaReações OrgânicasReações Orgânicas: Oxidação, Redução e Polimerização
- Química OrgânicaTipos de Reagentes e Mecanismos das Reações Orgânicas
Considere os compostos de coordenação e/ou organometálicos que são empregados em processos de catálise
homogênea (ou formados in situ) conhecidos da literatura acadêmica. A coluna da esquerda apresenta os
nomes do processos que empregam estes catalisadores e a da direita, o catalisador empregado. Numere a
coluna da direita de acordo com a da esquerda.
1- Hidrogenação de alquenos ( ) PdCl2/[CuCl4] -
2- Hidroformilação ( ) [M(CO)2(I)2] - , M = Co, Rh ou Ir
3- Oxidação de Alquenos “Wacker” ( ) [Co(CO)4H] ou [Rh(CO)H(PPh3)3]
4- Carbonilação do metanol ( ) [RhCl(PPh3)3]
Marque a sequência correta.
1- Hidrogenação de alquenos ( ) PdCl2/[CuCl4] -
2- Hidroformilação ( ) [M(CO)2(I)2] - , M = Co, Rh ou Ir
3- Oxidação de Alquenos “Wacker” ( ) [Co(CO)4H] ou [Rh(CO)H(PPh3)3]
4- Carbonilação do metanol ( ) [RhCl(PPh3)3]
Marque a sequência correta.
Provas
Questão presente nas seguintes provas
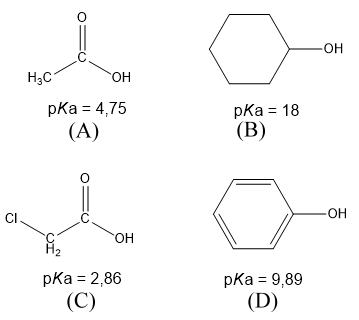
A respeito das propriedades ácido-base de compostos orgânicos, segundo Br⌀wnsted-Lowry, observe as
seguintes estruturas e seus respectivos valores de pKa.

Sobre o tema, marque V para as afirmativas verdadeiras e F para as falsas.
( ) Comparando os compostos (B) e (D), o composto (D) é mais ácido devido à distribuição de carga elétrica, fazendo o oxigênio do grupo -OH ficar mais positivo, portanto o próton é mantido com uma força menor. ( ) Em uma reação de (D) com NaHCO3 aquoso, ocorre a remoção de um próton do composto (D), formando um produto derivado de (D) solúvel em água. ( ) A maior acidez do composto (D) quando comparada à do (B) pode ser atribuída às estruturas dos híbridos de ressonância daquele composto apresentarem cargas nas posições meta em relação à hidroxila, tornando o oxigênio mais positivo. ( ) O composto (C) é mais ácido do que (A) devido ao efeito substituinte provocado pelo átomo de Cl.
Assinale a sequência correta.

Sobre o tema, marque V para as afirmativas verdadeiras e F para as falsas.
( ) Comparando os compostos (B) e (D), o composto (D) é mais ácido devido à distribuição de carga elétrica, fazendo o oxigênio do grupo -OH ficar mais positivo, portanto o próton é mantido com uma força menor. ( ) Em uma reação de (D) com NaHCO3 aquoso, ocorre a remoção de um próton do composto (D), formando um produto derivado de (D) solúvel em água. ( ) A maior acidez do composto (D) quando comparada à do (B) pode ser atribuída às estruturas dos híbridos de ressonância daquele composto apresentarem cargas nas posições meta em relação à hidroxila, tornando o oxigênio mais positivo. ( ) O composto (C) é mais ácido do que (A) devido ao efeito substituinte provocado pelo átomo de Cl.
Assinale a sequência correta.
Provas
Questão presente nas seguintes provas
Tendo em vista os conceitos de Termodinâmica na interpretação molecular de calor e trabalho, assinale a
afirmativa correta.
Provas
Questão presente nas seguintes provas
- Interações com Tecnologia, Sociedade e Meio Ambiente
- Química OrgânicaPropriedades Físicas dos Compostos Orgânicos
Em agosto de 2019, foi noticiado pelos meios de comunicação um derramamento de óleo no litoral
brasileiro, que se estendeu por mais de 2 mil quilômetros. Derramamentos de óleo diesel, por exemplo,
podem ser contidos empregando-se um solidificante que possa emulsionar o óleo diesel e formar um gel.
Um exemplo dessa substância é o manitol, cuja fórmula estrutural pode ser visualizada abaixo.
Observando a estrutura do manitol, percebe-se que essas moléculas têm facilidade de formar um gel com óleo diesel devido ao fato de
Observando a estrutura do manitol, percebe-se que essas moléculas têm facilidade de formar um gel com óleo diesel devido ao fato de
Provas
Questão presente nas seguintes provas
Na comunicação informal, qual é o tipo de rede de boatos que se caracteriza por ser um pouco interessante,
mas insignificante, em que os indivíduos contam aleatoriamente, indiferentes com relação à pessoa a quem
dão a informação?
Provas
Questão presente nas seguintes provas
A figura abaixo apresenta um texto do LibreOffice Writer com as linhas numeradas de 1 a 13 e com um
parágrafo selecionado (linhas 2 a 13).
Sobre o texto, analise as afirmativas.
I- No parágrafo selecionado, foi aplicado alinhamento centralizado. II- O recuo da primeira linha do parágrafo selecionado está ajustado para 2 cm. III- A margem esquerda do documento é de 1 cm. IV- O recuo depois do texto do parágrafo selecionado é de 2 cm.
Estão corretas as afirmativas
Sobre o texto, analise as afirmativas.
I- No parágrafo selecionado, foi aplicado alinhamento centralizado. II- O recuo da primeira linha do parágrafo selecionado está ajustado para 2 cm. III- A margem esquerda do documento é de 1 cm. IV- O recuo depois do texto do parágrafo selecionado é de 2 cm.
Estão corretas as afirmativas
Provas
Questão presente nas seguintes provas
- OrtografiaPontuaçãoDois-pontos
- OrtografiaPontuaçãoPonto de Exclamação e Interrogação
- OrtografiaPontuaçãoVírgula
- Sintaxe
Leia o texto abaixo de Walcyr Carrasco, Revista Veja Ed. 2668, e responda à questão.
Início de ano é sempre assim: a gente faz promessas, ambiciona novidades. Como o ano só começa
realmente depois do Carnaval, costumo aguardar até lá. Mas aí já é tarde: o ano ganhou seu ritmo e eu deixo
as mudanças para o futuro. Em 2019 pensei no que realmente desejaria para este 2020. Há uma palavra que
não me sai da cabeça: segurança. É claro que o país tem problemas de todo tipo. Mas a segurança toca no
meu cotidiano diretamente. [...] Eu me admiro ver as pessoas convivendo com a violência como se fosse
absolutamente normal. Uma amiga sai sempre com dois celulares. Um velho e um bom, escondido. O mais
antigo é para, no caso de assalto, entregar ao ladrão. Já ouvi um conhecido dizer que o “meliante” foi legal,
pois o deixou ficar com os documentos. Ou seja: o sujeito assalta, ameaça, mas é “legal”? Recentemente, um
amigo fez aniversário. Tínhamos um evento, mas queríamos nos reunir depois das dez da noite. Foi difícil
achar um restaurante: a maioria está fechando mais cedo. Em São Paulo, no centro, as mulheres andam
agarradas às bolsas. O pior, porém, repito, é nossa atitude passiva. Nós nos acostumamos ao absurdo. [...].
Há alguns anos, eu saía do Leblon e andava até o Arpoador pela praia. É uma boa e saudável
distância. Não tenho mais coragem. Quero voltar a andar pelo calçadão sem medo. Se caminhar, realizarei
meu segundo desejo de Ano Novo: perder a barriga. Mas quando? A falta de segurança mudou a minha vida.
Sem dúvida, continuarei barrigudo.
Provas
Questão presente nas seguintes provas
Cadernos
Caderno Container