Foram encontradas 40 questões.
Uma rádio realizou uma pesquisa junto aos seus ouvintes e obteve a seguinte informação. O programa “U”, que contém 20 minutos de música e 1 minuto de propaganda, possui uma audiência média de 35.000 ouvintes por edição, enquanto o programa “V”, com 15 minutos de música e 2 minutos de propaganda, possui uma audiência de 10.000 ouvintes por edição.
O diretor decidiu que a quantidade de música na semana não deverá exceder 100 minutos, e a correspondente verba para propaganda semanal não deverá exceder 15 minutos.
Ainda, são definidas as variáveis xu e xv como sendo a quantidade de vezes que o programa U e o programa V vão ao ar semanalmente, respectivamente.
Um modelo de programação linear que vise maximizar o número de ouvintes semanais conterá uma das seguintes restrições. Assinale-a:
Provas
Questão presente nas seguintes provas
- Gestão da Informação e ConhecimentoTecnologia e AdministraçãoSIG: Sistemas de Informações Gerenciais
Os Sistemas de Informação Gerencial (SIG's) geram produtos de informação predefinidos que satisfazem as necessidades de informação dos tomadores de decisão dos níveis operacional e tático, que encontram tipos de situações de decisão mais estruturados. Os Sistemas de Apoio a Decisão (SAD) são sistemas de informação computarizados que fornecem apoio interativo de informação aos gerentes e profissionais de empresas durante o processo de tomada de decisão.
Em relação à metodologia de processamento de informação de cada um desses sistemas, é correto afirmar:
Provas
Questão presente nas seguintes provas
Considerando a classificação dos componentes de um Sistema de Informação da Cadeia de Suprimentos (SCIS) abrangente dada por Bowersox, Closs e Cooper (2008), analise as descrições abaixo.
I) Sistemas de Gerenciamento de Transporte (TMS)
II) Sistemas de Gerenciamento de Almoxarifado (WMS)
III) Sistemas de Planejamento e Programação Avançados (APS)
IV) Sistemas de Planejamento de Recursos Empresariais (ERP)
Descrevem sistemas que podem ser classificados como “Sistema de execução”
Provas
Questão presente nas seguintes provas
Considerando os tipos básicos de layouts, dentre as alternativas abaixo, qual apresenta como característica a organização de recursos (funcionários e equipamentos) por função? O layout
Provas
Questão presente nas seguintes provas
Na Engenharia Econômica são utilizados diversos conceitos financeiros aos efeitos de poder avaliar as alternativas econômicas da forma mais adequada. Alguns desses conceitos são definidos a seguir:
I) A taxa de juros contratada em uma operação financeira chama-se taxa nominal. Essa taxa nem sempre é igual à taxa efetiva que é a taxa de rendimento que a operação financeira proporciona de fato.
II) A Taxa Interna de Retorno - TIR de um fluxo de caixa é a taxa para a qual o valor presente é nulo.
III) A Taxa de Mínima Atratividade - TMA é a taxa a partir da qual o investidor considera que está obtendo ganhos financeiros.
IV) A Taxa Interna de Retorno - TIR de um fluxo de caixa é a taxa para a qual o valor presente é 5% superior ao valor presente mínimo estipulado.
V) A Taxa de Mínima Atratividade - TMA é a taxa a partir da qual o investidor considera que não está tendo perdas significativas nas aplicações de risco.
Das definições anteriores, está(ão) correta(s) apenas:
Provas
Questão presente nas seguintes provas
O seguinte artigo de Stephen Kanitz servirá de base para a resolução da questão abaixo.
Você está despedido!
Stephen Kanitz
Você é diretor de uma indústria de geladeiras. O mercado vai de vento em popa e a diretoria decidiu duplicar o tamanho da fábrica. No meio da construção, os economistas americanos preveem uma recessão, com grande alarde na imprensa. A diretoria da empresa, já com um fluxo de caixa apertado, decide, pelo sim, pelo não, economizar 20 milhões de dólares. Sua missão é determinar onde e como realizar esse corte nas despesas.
Esse é o resumo de um dos muitos estudos de caso que tive para resolver no mestrado de administração, que me marcou e merece ser relatado. O professor chamou um colega ao lado para começar a discussão. O primeiro tem sempre a obrigação de trazer à tona as questões mais relevantes, apontar as variáveis críticas, separar o joio do trigo e apresentar um início de solução.
"Antes de mais nada, eu mandaria embora 620 funcionários não essenciais, economizando 12 200 000 dólares. Postergaria, por seis meses os gastos com propaganda, porque nossa marca é muito forte. Cancelaria nossos programas de treinamento por um ano, já que estaremos em compasso de espera. Finalmente, cortaria 95% de nossos projetos sociais, afinal nossa sobrevivência vem em primeiro lugar". É exatamente isso que as empresas brasileiras estão fazendo neste momento, muitas até premiadas por sua "responsabilidade social".
Terminada a exposição, o professor se dirigiu ao meu colega e disse:
– Levante-se e saia da sala.
– Desculpe, professor, eu não entendi - disse John, meio aflito.
– Eu disse para sair desta sala e nunca mais voltar. Eu disse: PARA FORA! Nunca mais ponha os pés aqui em Harvard.
Ficamos todos boquiabertos e com os cabelos em pé. Nem um suspiro. Meu colega começou a soluçar e, cabisbaixo, se preparou para deixar a sala. O silêncio era sepulcral.
Quando estava prestes a sair, o professor fez seu último comentário:
– Agora vocês sabem o que é ser despedido. Ser despedido sem mostrar nenhuma deficiência ou incompetência, mas simplesmente porque um bando de prima-donas em Washington meteu medo em todo mundo. Nunca mais na vida despeçam funcionários como primeira opção. Despedir gente é sempre a última alternativa.
Aquela aula foi uma lição e tanto. É fácil despedir 620 funcionários como se fossem simples linhas de uma planilha eletrônica, sem ter de olhar cara a cara para as pessoas demitidas. É fácil sair nos jornais prevendo o fim da economia ou aumentar as taxas de juros para 25% quando não é você quem tem de despedir milhares de funcionários nem pagar pelas consequências. Economistas, pelo jeito, nunca chegam a estudar casos como esse nos cursos de política monetária.
Se você decidiu reduzir seus gastos familiares "só para se garantir", também estará despedindo pessoas e gerando uma recessão. Se todas as empresas e famílias cortarem seus gastos a cada previsão de crise, criaremos crises de fato, com mais desemprego e mais recessão. A solução para crises é reservas e poupança, poupança previamente acumulada.
O correto é poupar e fazer reservas públicas e privadas, nos anos de vacas gordas para não ter de despedir pessoas nem reduzir gastos nos anos de vacas magras, conselho milenar. Poupar e fazer caixa no meio da crise é dar um tiro no pé. Demitir funcionários contratados a dedo, talentos do presente e do futuro, é suicídio.
Se todos constituíssem reservas, inclusive o governo, ninguém precisaria ficar apavorado, e manteríamos o padrão de vida, sem cortar despesas. Se a crise for maior que as reservas, aí não terá jeito, a não ser apertar o cinto, sem esquecer aquela memorável lição: na hora de reduzir custos, os seres humanos vêm em último lugar.
http://www.kanitz.com/veja/outplacement.asp (acessado em 7 de novembro de 2010)
A introdução do texto (1º par.) apresenta um recurso bastante interessante para atrair a atenção do leitor. Qual é esse recurso?
Provas
Questão presente nas seguintes provas
Qual dos seguintes autores é considerado um dos “gurus da qualidade”?
Provas
Questão presente nas seguintes provas
Um engenheiro de produção precisa projetar um processo que deve ser capaz de produzir um eixo com um diâmetro de 4 cm + ou - 0,04 centímetros. Se a capacidade do processo deve ser de 1,6, qual é o máximo desvio padrão admissível desse processo?
Provas
Questão presente nas seguintes provas
Os sistemas de apoio à decisão utilizam quatro tipos básicos de modelagens analíticas, as quais serão descritas a seguir.
I) A “análise do tipo what-if” consiste em observar como as mudanças de variáveis selecionadas afetam outras variáveis.
II) A “análise de sensibilidade” consiste em observar como mudanças repetidas em uma única variável afetam outras variáveis.
III) A “análise de busca de metas” consiste em realizar repetidas mudanças em variáveis selecionadas até que uma variável escolhida alcance um valor-alvo.
IV) A “análise de otimização” consiste em encontrar um valor médio para variáveis selecionadas, dadas certas restrições.
Está(ão) correta(s) apenas
Provas
Questão presente nas seguintes provas
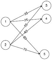
No problema de transportes a seguir, as variáveis xij representam as quantidades que devem ser transportadas da origem “i” ao destino “j”, de acordo aos custos unitários apresentados na figura.

A função objetivo deste problema é representada por:
Provas
Questão presente nas seguintes provas
Cadernos
Caderno Container