Foram encontradas 112 questões.
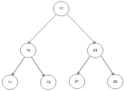
Na árvore binária de busca abaixo, há uma sequência de inserções.

Qual das seguintes opções contém a ordem correta ?
Provas
Questão presente nas seguintes provas
952180
Ano: 2015
Disciplina: TI - Organização e Arquitetura dos Computadores
Banca: UFPel
Orgão: UFPel
Disciplina: TI - Organização e Arquitetura dos Computadores
Banca: UFPel
Orgão: UFPel
Provas:
Supondo que a memória de um
microcomputador possui o tamanho de 128MB
(megabytes), a sua capacidade de armazenamento
em bytes é
Provas
Questão presente nas seguintes provas
Cadernos
Caderno Container